Последнее обновление :
27/04/2026
Иммуннодепрессант   Ciclosporin  
Инъекция
Глазные капли Мази Раствор для перорального приёма
Стабильность растворов Стабильность смесей Факторы, которые влияют на стабильность Совместимость Способы введения Библиография pdf
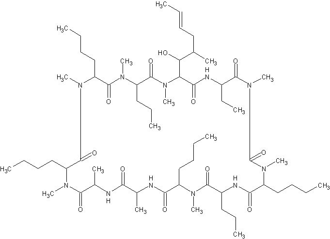
   Химическая структура  

Товарное название   Товарное название     

Trade names are indicative and excipients composition can be different depending on the country and manufacturers

Cyclosporine Канада, Соединённые Штаты Америки
Graftin Индия
Sandimmum Австралия, Австрия, Аргентина, Бельгия, Великобритания, Венгрия, Германия, Греция, Дания, Иран, Ирландия, Исландия, Испания, Италия, Колумбия, Люксембург, Малайзия, Марокко, Мексика, новая Зеландия, Норвегия, Объединенные Арабские Эмираты, Перу, Польша, Португалия, Саудовская Аравия, Тунис, Турция, Финляндия, чили, Швейцария, Швеция

Факторы, которые влияют на стабильность   Инъекция   Факторы, которые влияют на стабильность : Ciclosporin        

  Mentions Légales