Останнє оновлення :
27/04/2026
Імунодепресант   Ciclosporin  
ін'єкція
Мазі Очні краплі Розчин для перорального застосування
Стійкість в розчинах Стійкість сумішей Фактори, що впливають на стабільність Сумісність Шлях введення Список літератури pdf
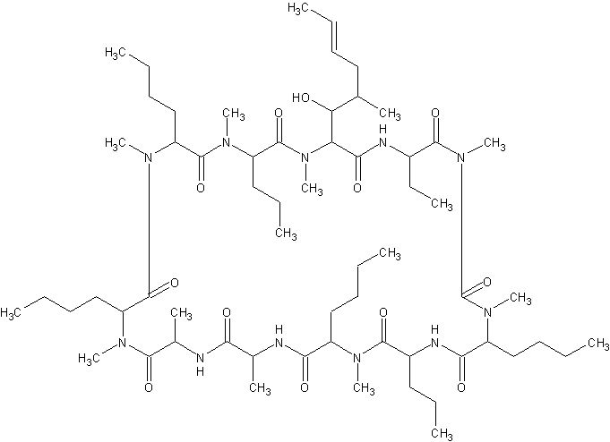
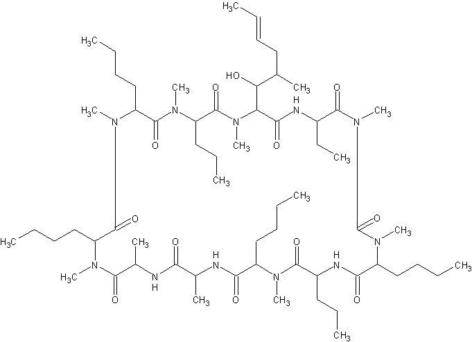
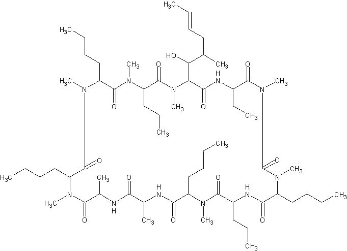
   Хімічна структура  

Торгова назва   Торгова назва     

Торгові назви є орієнтовними, а склад допоміжних речовин може бути різним залежно від країни та виробника

Cyclosporine Канада, Сполучені Штати Америки
Graftin Індія
Sandimmum Іран, Ірландія, Ісландія, Іспанія, Італія, Австрія, Австралія, Аргентина, Бельгія, Великобританія, Греція, Данія, Колумбія, Люксембург, Малайзія, Марокко, Мексика, Німеччина, Нова Зеландія, Норвегія, Об'єднані Арабські Емірати, Перу, Польща, Португалія, Саудівська Аравія, Туніс, Туреччина, Угорщина, Фінляндія, Чилі, Швейцарія, Швеція

Фактори, що впливають на стабільність   ін'єкція   Фактори, що впливають на стабільність : Ciclosporin        

  Mentions Légales