آخر تحديث :
27/04/2026
مخفض المناعة   Ciclosporin  
حقن
المراهم عن طريق الفم  قطرات العين
الاستقرار في حلول استقرار مخاليط العوامل التي تؤثر على الاستقرار التوافق طريقة التعاطي مراجع pdf
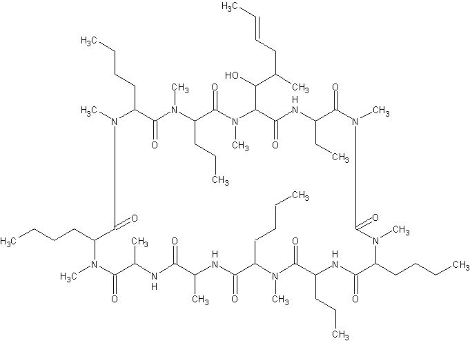
   التركيب الكيميائي  

حجز الاسم التجاري   حجز الاسم التجاري     

تحذير الأسماء التجاريه المختلفه قد تحتوي علي محتوي إضافات مختلفة حسب الدوله و المعمل

Cyclosporine الولايات المتحدة, كندا
Graftin الهند
Sandimmum أستراليا, ألمانيا, أيسلندا, إسبانيا, إيران, إيطاليا, الأرجنتين, الإمارات العربية المتحدة, البرتغال, الدنمارك, السويد, العربية السعودية, المغرب, المكسيك, النرويج, النمسا, ايرلندا, بريطانيا العظمي, بلجيكا, بولندا, بيرو, تركيا, تشيلي, تونس, زيلاندا الجديدة, سويسرا, فنلندا, كولومبيا, لوكسمبورغ, ماليزيا, هنغاريا, يونان

العوامل التي تؤثر على الاستقرار   حقن   العوامل التي تؤثر على الاستقرار : Ciclosporin        

  Mentions Légales