Pēdējā atjaunošana :
27/04/2026
Imūnsupresors   Ciclosporin  
Injekcija
Acu pilieni Orāls šķīdums Ziedes
Šķīduma stabilitāte Maisījuma stabilitāte Stabilitāti ietekmējoši faktori Saderība Levadīšanas veids Literatūras saraksts pdf
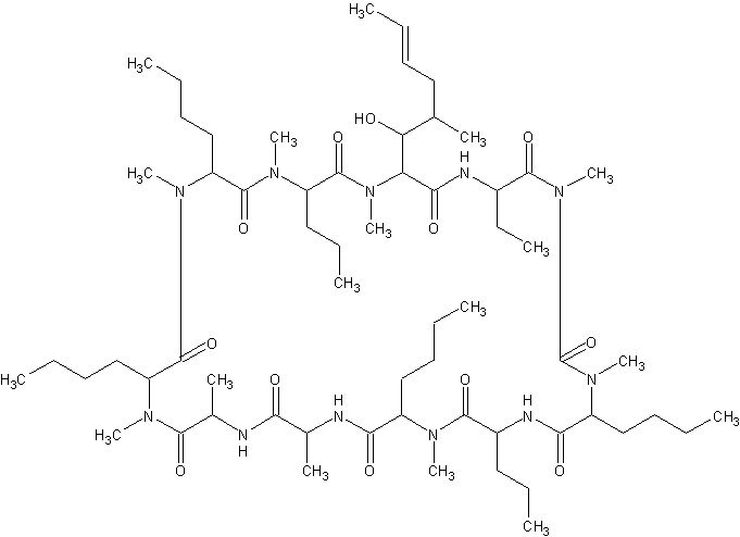
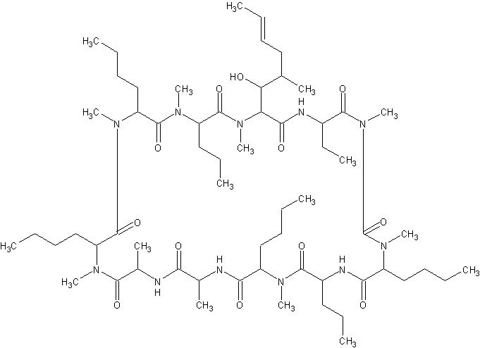
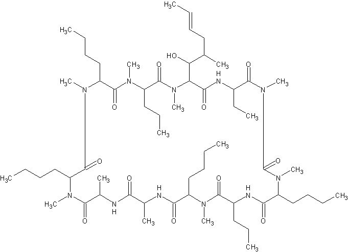
   Ķīmiskā uzbūve   

Oriģinālais nosaukums   Oriģinālais nosaukums     

Tirdzniecības nosaukumi ir apzīmējoši un palīgvielas var atšķirties dažādām valstīm un laboratorijām

Cyclosporine Amerikas Savienotās Valstis, Kanāda
Graftin Indija
Sandimmum Apvienotie Arābu Emirāti, Argentīna, Austrālija, Austrija, Beļģija, Čīle, Dānija, Grieķija, Irāna, Īrija, Islande, Itālija, Jaunzēlande, Kolumbija, Lielbritānija, Luksemburga, Malaizija, Maroka, Meksika, Norvēģija, Peru, Polija, Portugāle, Saūda Arābija, Somija, Spānija, Šveice, Tunisija, Turcija, Ungārija, Vācija, Zviedrija

Stabilitāti ietekmējoši faktori   Injekcija   Stabilitāti ietekmējoši faktori : Ciclosporin        

  Mentions Légales