Poslední aktualizace :
27/04/2026
Imunosupresivum   Ciclosporin  
injekce
Humbuk Masti Perorální roztok
Stabilita roztoků Stabilita směsí Faktory ovlivňující stabilitu Kompatibilita Způsoby aplikace Odkazy pdf
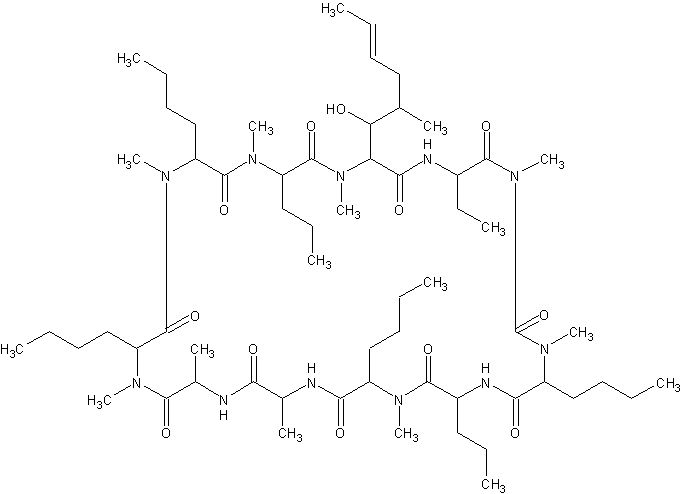
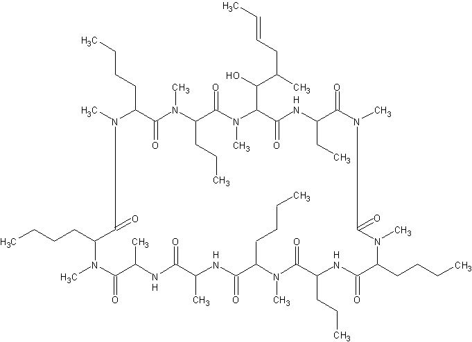
   Chemický vzorec  

Obchodní název   Obchodní název     

Trade names are indicative and excipients composition can be different depending on the country and manufacturers

Cyclosporine Kanada, USA
Graftin Indie
Sandimmum äpanÏlsko, Argentina, Austrálie, Belgie, Chile, Dánsko, Finsko, Írán, Irsko, Island, Itálie, Kolumbie, Lucembursko, Malajsie, MaÔarsko, Maroko, Mexiko, NÏmecko, Norsko, nový Zéland, Peru, Polsko, Portugalsko, Rakousko, Saúdská Arábie, Spojené arabské emiráty, Švédsko, Švýcarsko, Tunisko, Turecko, Velká Británie, ÿecko

Faktory ovlivňující stabilitu   injekce   Faktory ovlivňující stabilitu : Ciclosporin        

  Mentions Légales