Останнє оновлення :
27/04/2026
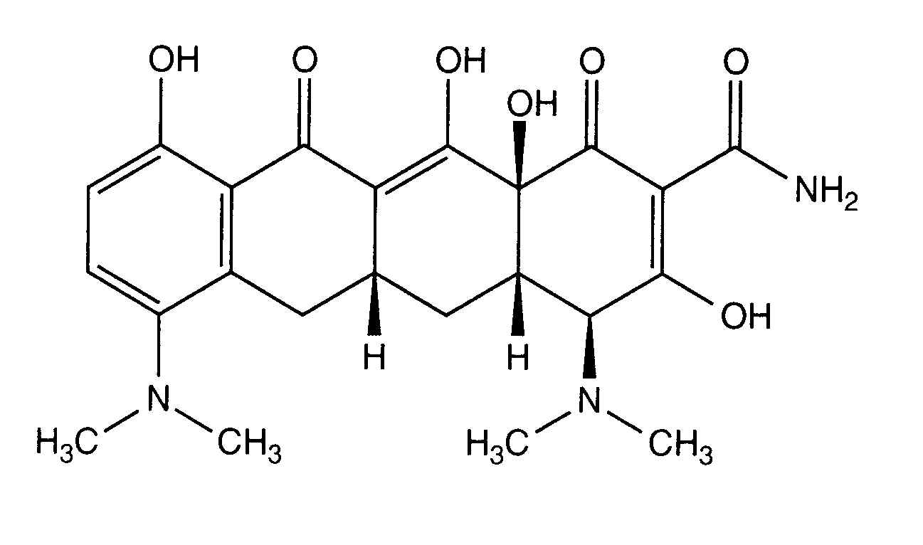
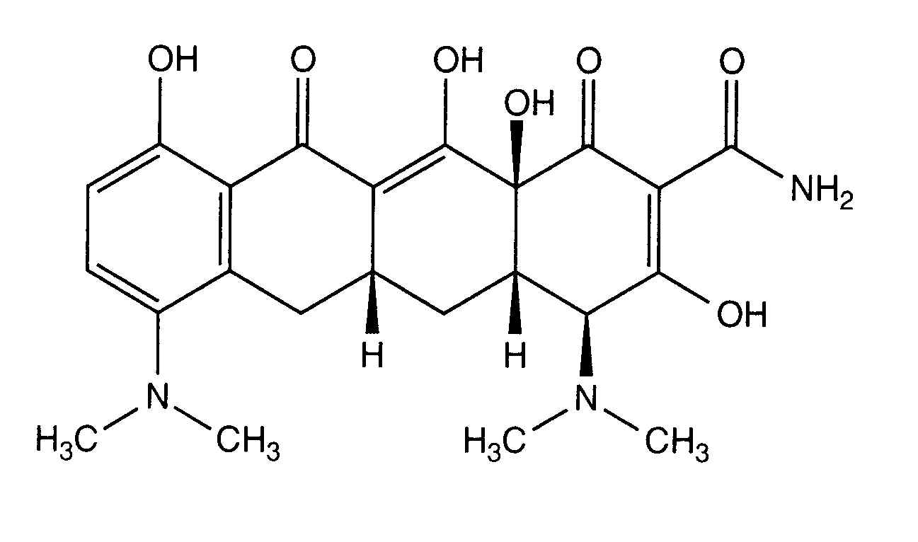
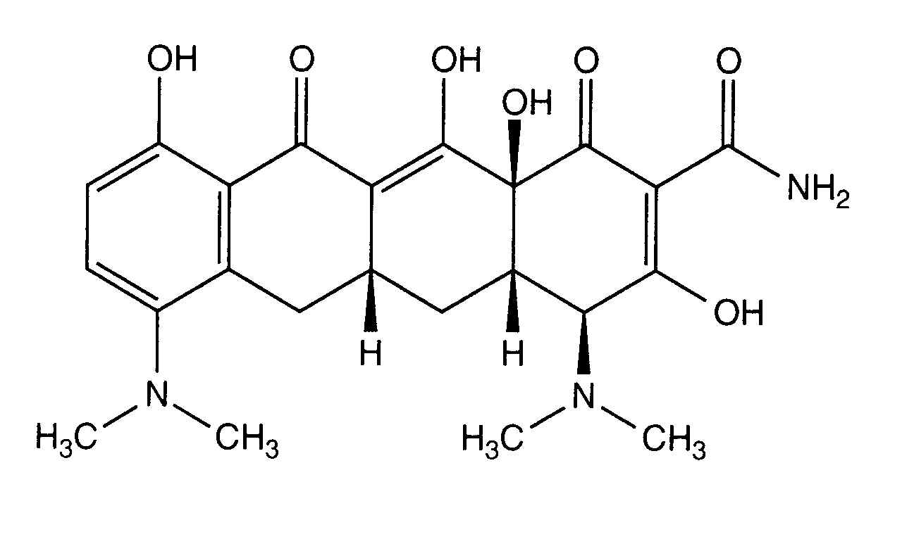
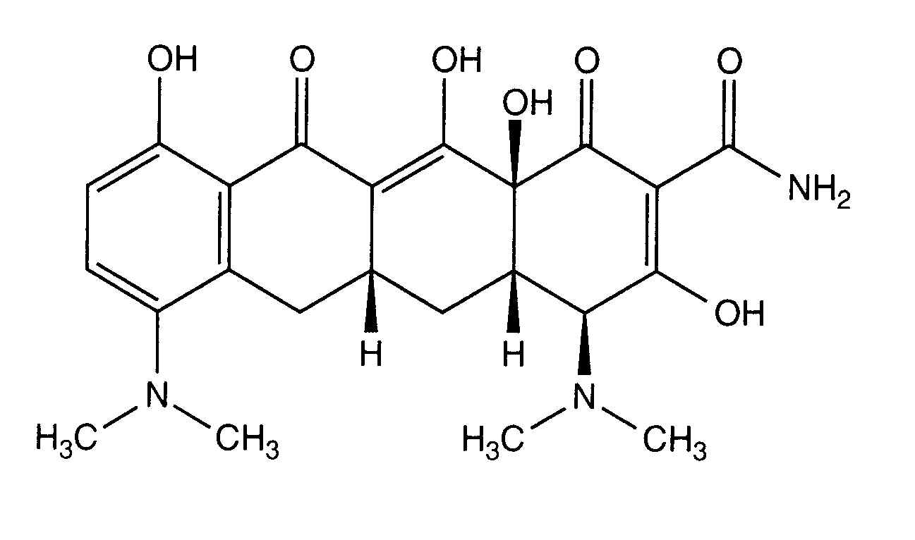
Антибіотик   Minocycline hydrochloride  
ін'єкція
Розчин для перорального застосування
Стійкість в розчинах Стійкість сумішей Фактори, що впливають на стабільність Сумісність Шлях введення Список літератури pdf
   Хімічна структура  

Торгова назва   Торгова назва     

Торгові назви є орієнтовними, а склад допоміжних речовин може бути різним залежно від країни та виробника

Minocin Сполучені Штати Америки

Фактори, що впливають на стабільність   ін'єкція   Фактори, що впливають на стабільність : Minocycline hydrochloride        

  Mentions Légales