آخر تحديث :
27/04/2026
مضاد حيوي   Minocycline hydrochloride  
حقن
عن طريق الفم
الاستقرار في حلول استقرار مخاليط العوامل التي تؤثر على الاستقرار التوافق طريقة التعاطي مراجع pdf
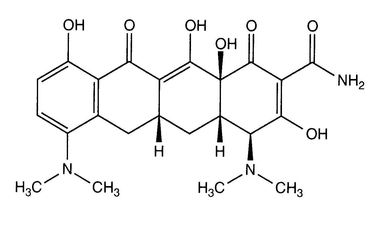
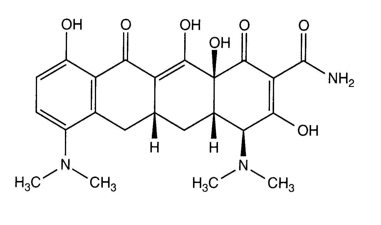
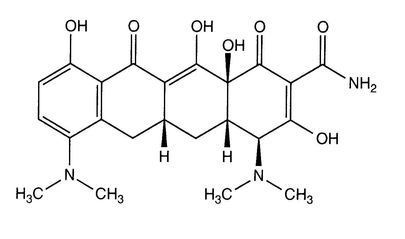
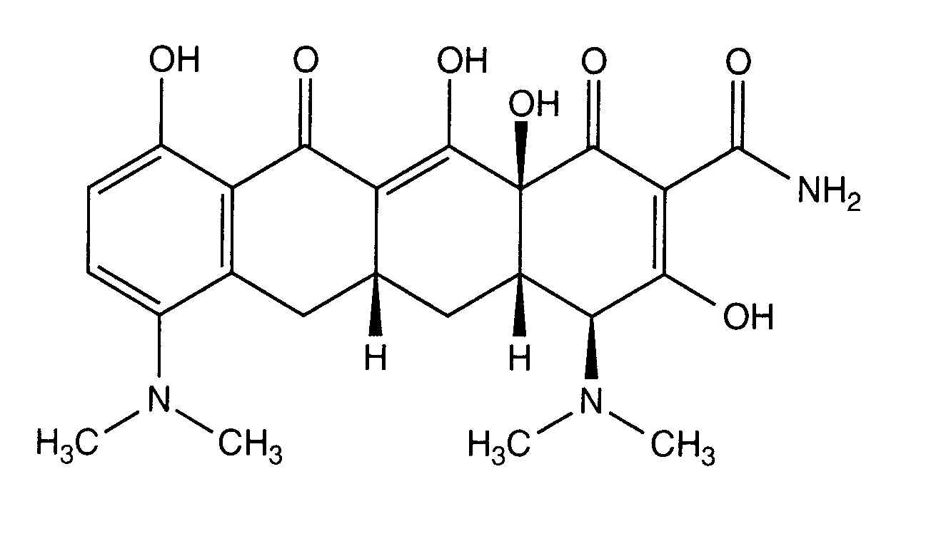
   التركيب الكيميائي  

حجز الاسم التجاري   حجز الاسم التجاري     

تحذير الأسماء التجاريه المختلفه قد تحتوي علي محتوي إضافات مختلفة حسب الدوله و المعمل

Minocin الولايات المتحدة

العوامل التي تؤثر على الاستقرار   حقن   العوامل التي تؤثر على الاستقرار : Minocycline hydrochloride        

  Mentions Légales