最新更新 :
27/04/2026
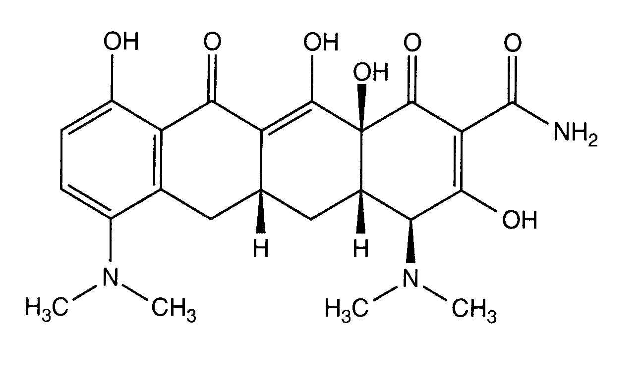
抗生素   Minocycline hydrochloride  
注射液
口服剂
溶液稳定性 混合物稳定性 影响稳定性的因素 兼容性 用药途径 引用文献 PDF
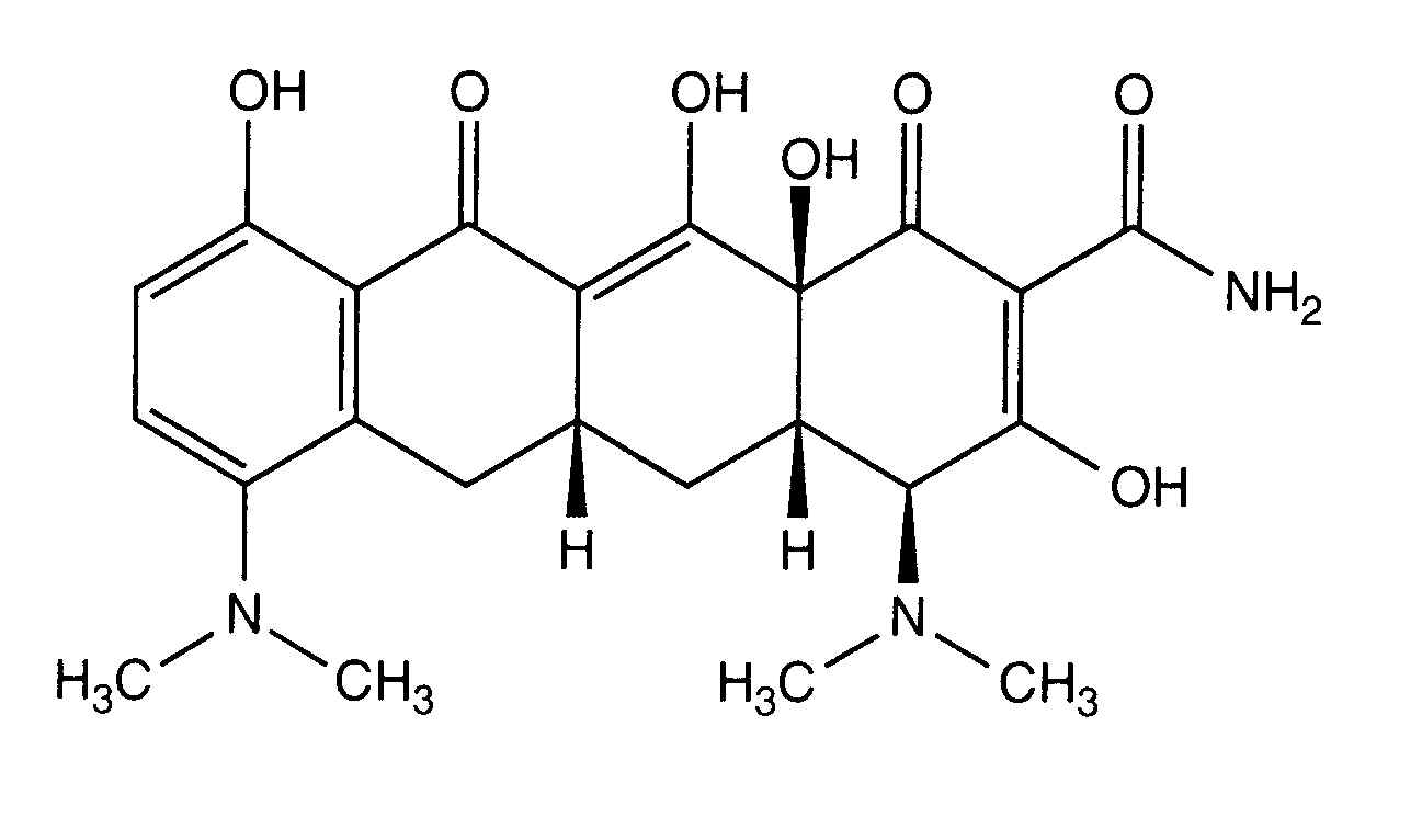
   化学式  

商品名   商品名     

商品名仅供参考, 药品所用的辅料可能依国家或厂商不同有所不同。

Minocin 美国

影响稳定性的因素   注射液   影响稳定性的因素 : Minocycline hydrochloride        

  Mentions Légales