Utolsó frissítés :
27/04/2026
Antibiotikum   Minocycline hydrochloride  
Injekció
belsőleges oldat
Az oldatok stabilitása A keverékek stabilitása Stabilitást befolyásoló tényezők Kompatibilitás Az alkalmazás módja Irodalom pdf
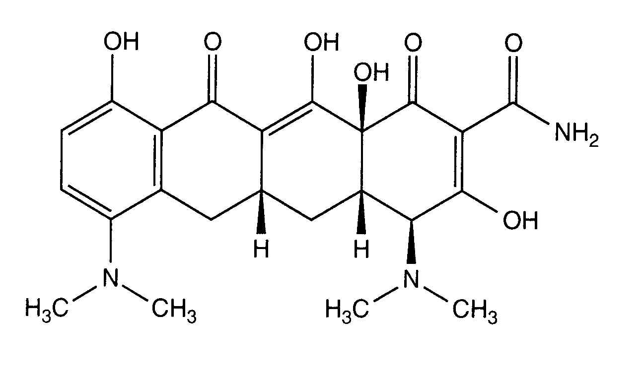
   Kémiai szerkezet   

Kereskedelmi név   Kereskedelmi név     

A kereskedelmi név meghatározó jelentőségű: a készítmények összetétele országonként, előállítóként eltérő lehet

Minocin Amerikai Egyesült Államok

Stabilitást befolyásoló tényezők   Injekció   Stabilitást befolyásoló tényezők : Minocycline hydrochloride        

  Mentions Légales