viimane versioon :
27/04/2026
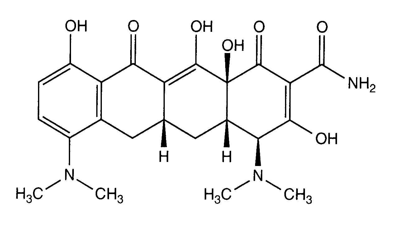
antibiootikum   Minocycline hydrochloride  
Süsteravim
suukaudne lahus
Stabiilsus lahustes Stabiilsust mõjutavad tegurid stabiilsust mõjutavad faktorid Sobimatus Manustamis viis Viited pdf
   keemiline struktuur  

Kaubanduslikud nimed erinevates maades   Kaubanduslikud nimed erinevates maades     

Preparaatide nimed on näitlikud ja abianete sisaldus võib erineda sõltuvalt riigist ja laborist

Minocin Ameerika ühendriigid

stabiilsust mõjutavad faktorid   Süsteravim   stabiilsust mõjutavad faktorid : Minocycline hydrochloride        

  Mentions Légales