zadnja posodobitev :
27/04/2026
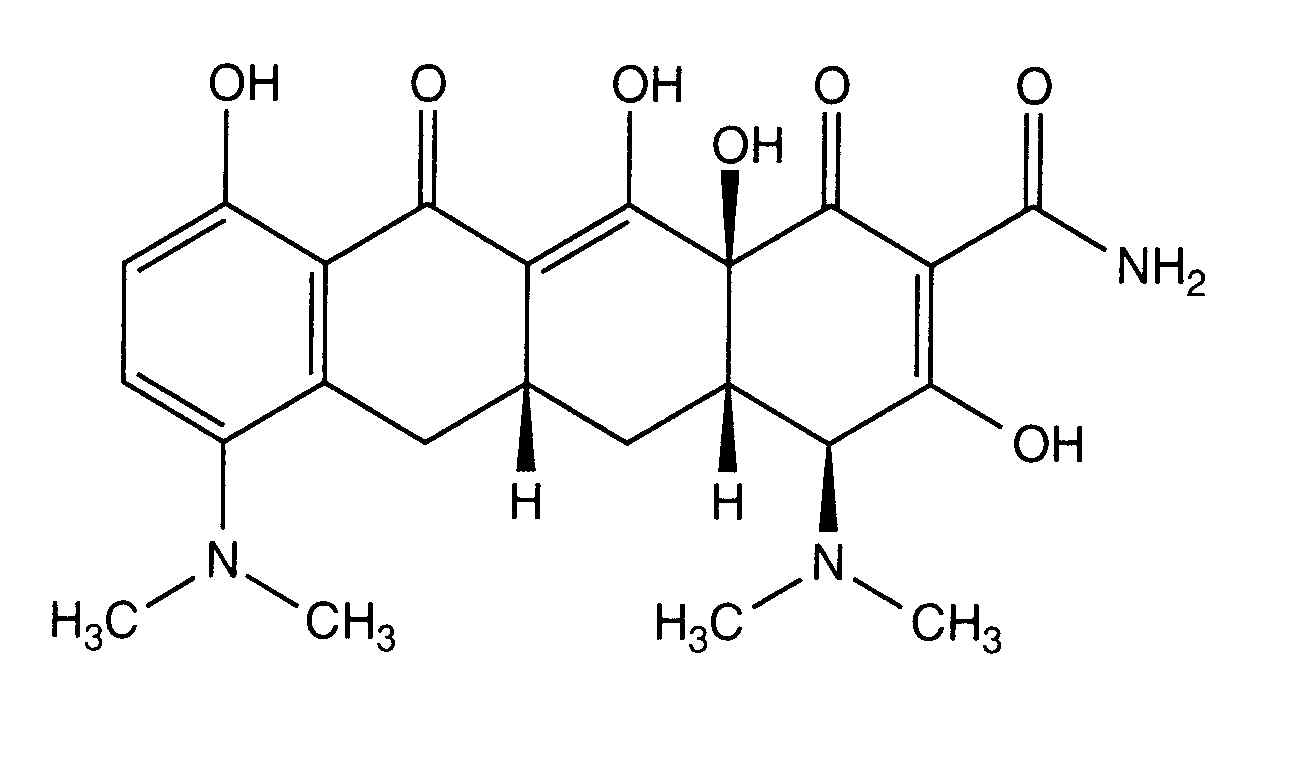
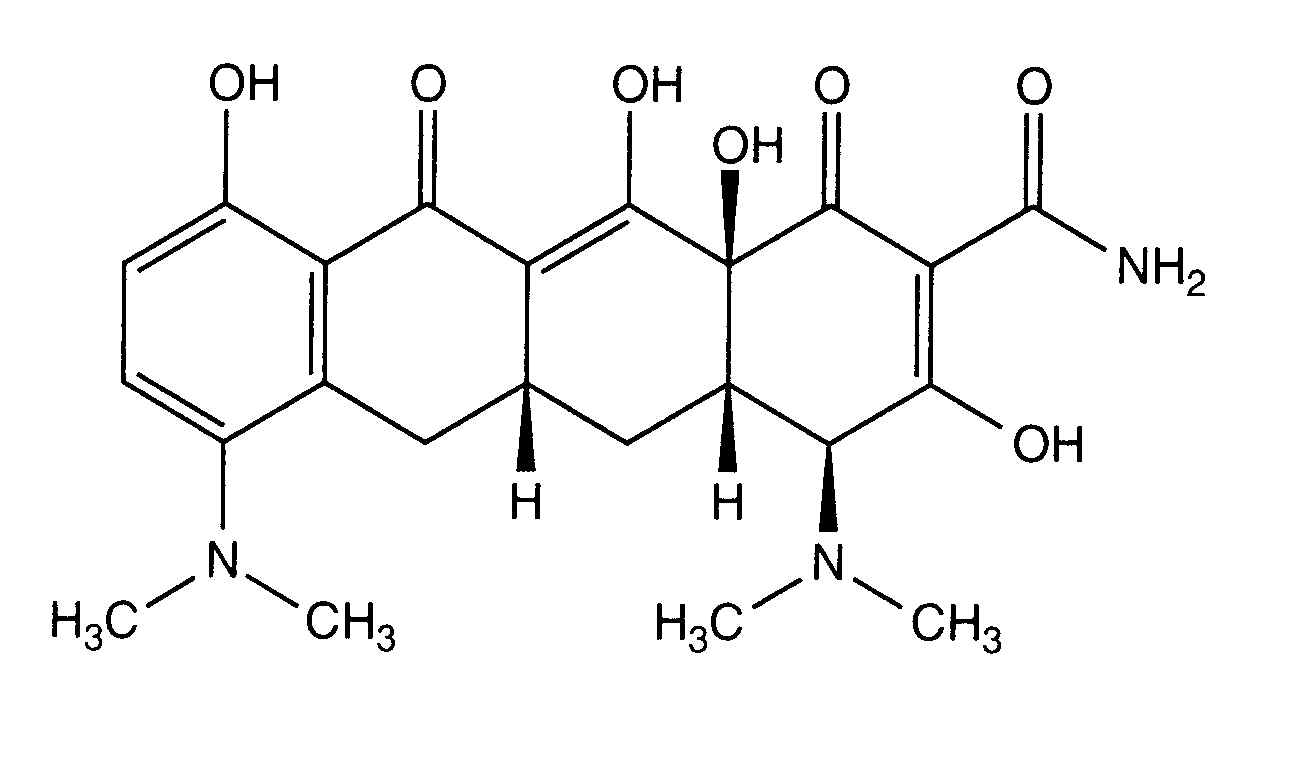
Antibiotik   Minocycline hydrochloride  
Brizgalka
Peroralna raztopina
Stabilnost raztopine Stabilnost mešanice Faktorji, ki vplivajo na stabilnost Kompatibilnost način aplikacije Viri pdf
   Kemična formula  

Lastniško ime   Lastniško ime     

Sestava pomožnih snovi je med paralelami lahko različna

Minocin Združene države Amerike

Faktorji, ki vplivajo na stabilnost   Brizgalka   Faktorji, ki vplivajo na stabilnost : Minocycline hydrochloride        

  Mentions Légales