Seneste opdatering :
27/04/2026
Antibiotisk   Minocycline hydrochloride  
Injektion
Oral opløsning
Stabilitet i (vandige) opløsninger Stabilitet i blandinger Faktorer der påvirker stabiliteten Kompatibilitet Administrationsvej Bibliografi pdf
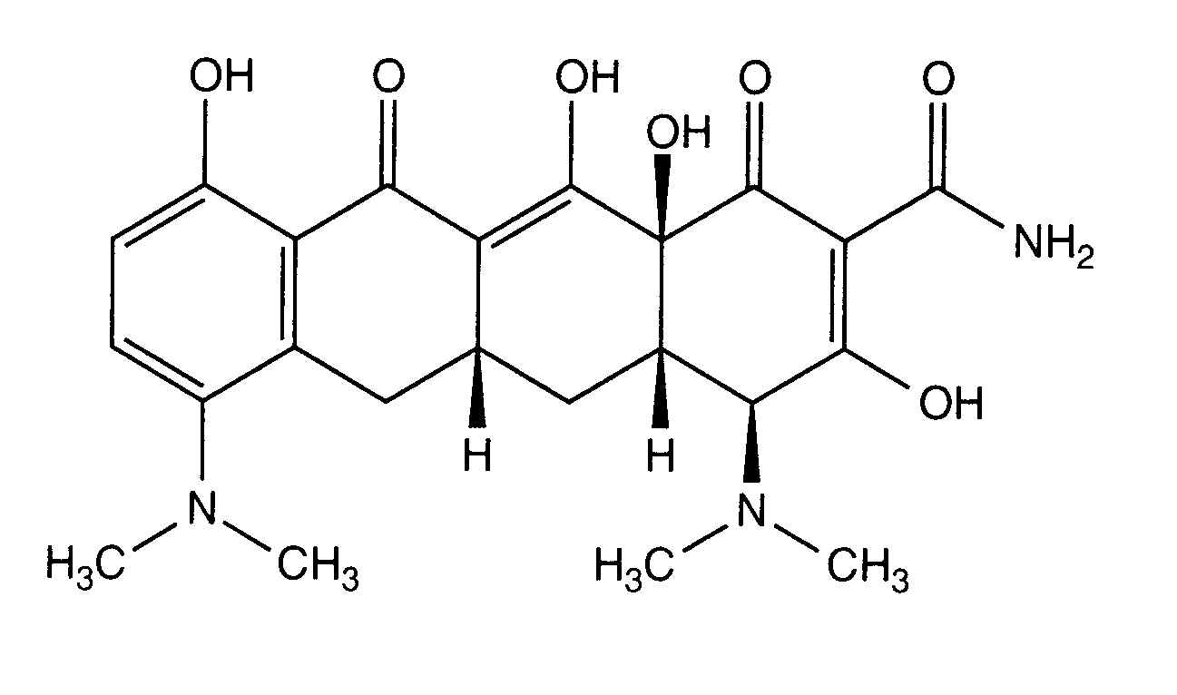
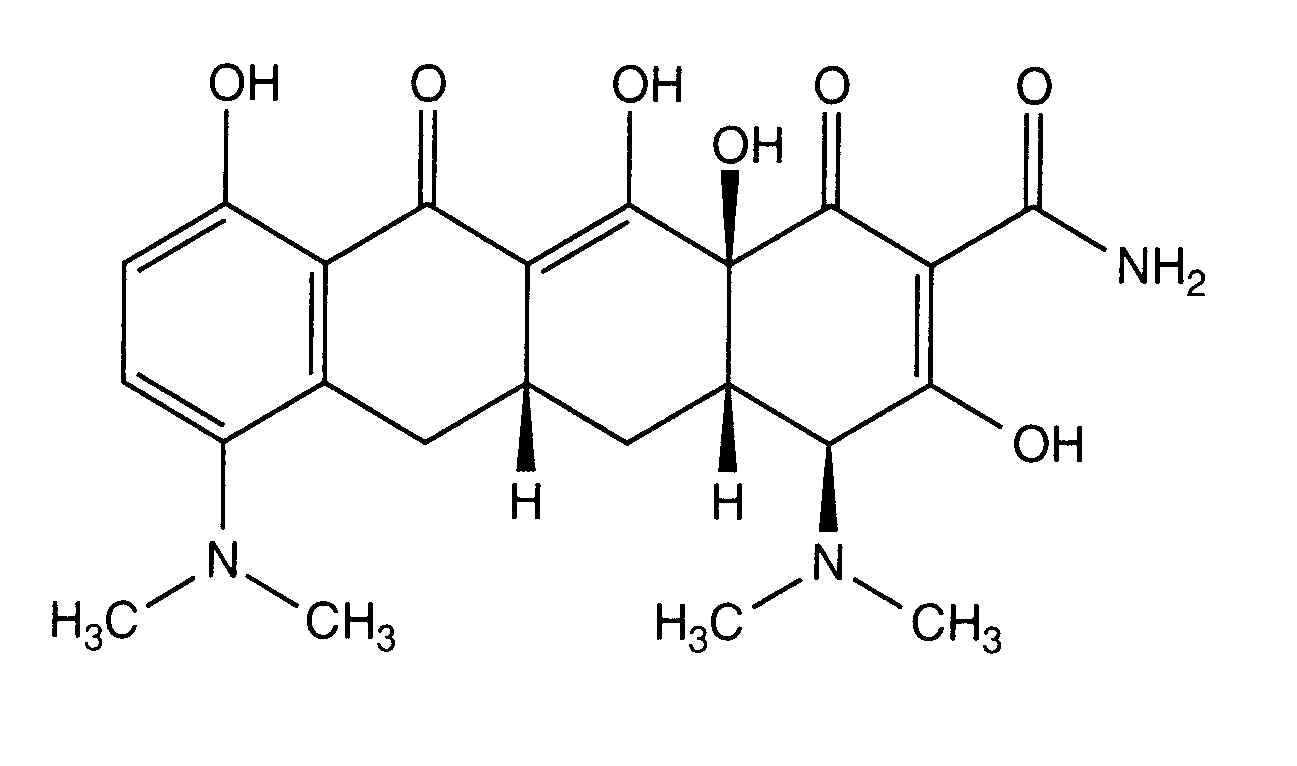
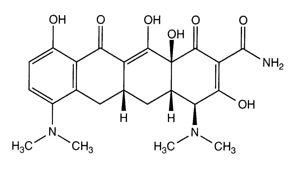
   Kemisk struktur  

Handelsnavn   Handelsnavn     

Handel navne er vejledende og hjælpestoffer sammensætning kan være forskellig afhængigt af landet og laboratorier

Minocin USA

Faktorer der påvirker stabiliteten   Injektion   Faktorer der påvirker stabiliteten : Minocycline hydrochloride        

  Mentions Légales