Последнее обновление :
27/04/2026
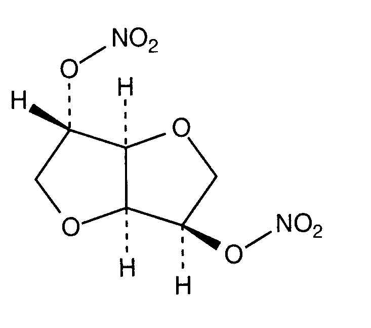
Сосудорасширяющее средство   Isosorbide dinitrate  
Инъекция
Стабильность растворов Стабильность смесей Факторы, которые влияют на стабильность Совместимость Способы введения Библиография pdf
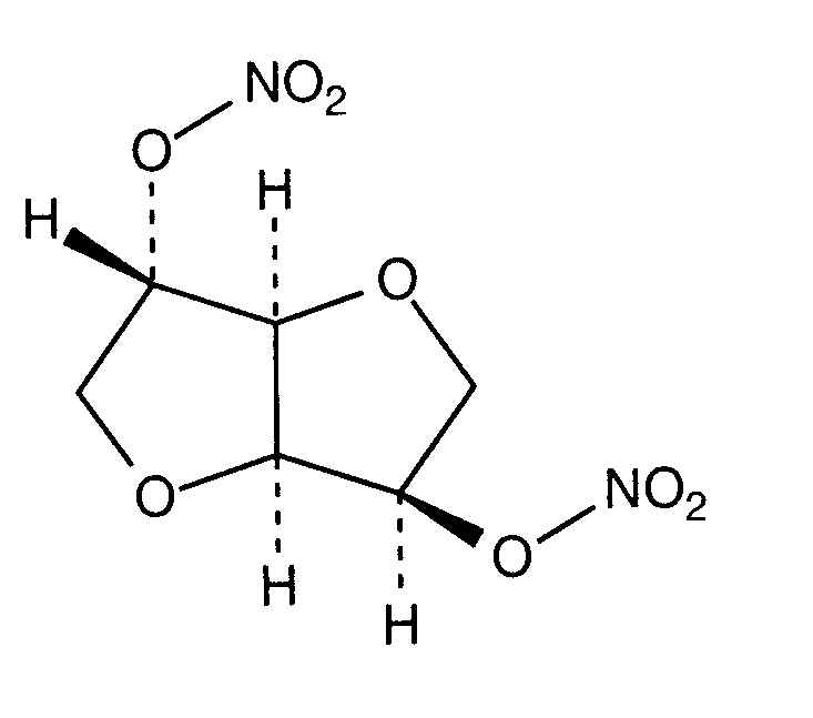
   Химическая структура  

Товарное название   Товарное название     

Trade names are indicative and excipients composition can be different depending on the country and manufacturers

Angsobide Малайзия
Cedocard Голландия
Diniket Италия
Dinit Великобритания
Ekilbran Мексика
Isoket Австрия, Великобритания, Венесуэла, Египет, Ирландия, Люксембург, Малайзия, Мексика, Объединенные Арабские Эмираты, Перу, Польша, Португалия, Саудовская Аравия, Швейцария
Isonit Перу, Эквадор
Nitrosid Финляндия
Nitrosorbide Италия
Risordan Франция
Zanisor Мексика
Стабильность растворов   Инъекция   Стабильность растворов : Isosorbide dinitrate     
Упаковка Растворитель Концентрация Температура Хранение Продолжительность стабильности Ссылки
Стекло Натрия хлорид 0,9% 0,095 mg/ml 21°C Защищён от света
24 Час
350

Полиэтилен Натрия хлорид 0,9% 0,02 mg/ml 22°C Защищён от света
24 Час
1067
Уровень доказательности C

Полиэтилен Натрия хлорид 0,9% 0,02 mg/ml 4°C Защищён от света
24 Час
1067
Уровень доказательности C

Полиэтилен Натрия хлорид 0,9% 0,095 mg/ml 21°C Защищён от света
24 Час
350

Полиэтилен Глюкоза 5% 0,02 mg/ml 22°C Защищён от света
24 Час
1067
Уровень доказательности C

Полиэтилен Глюкоза 5% 0,02 mg/ml 4°C Защищён от света
24 Час
1067
Уровень доказательности C

Шприц полипропилен Натрия хлорид 0,9% 0,6 mg/ml 2-8°C Защищён от света
28 День
4374
Уровень доказательности C+


  Mentions Légales