Laatste update :
27/04/2026
Vaatverwijder   Isosorbide dinitrate  
injecteerbaar geneesmiddel
Stabiliteit in oplossing Stabiliteit in mengsels Factoren die de stabiliteit beïnvloeden Verenigbaarheden Toedieningswijze Literatuur pdf
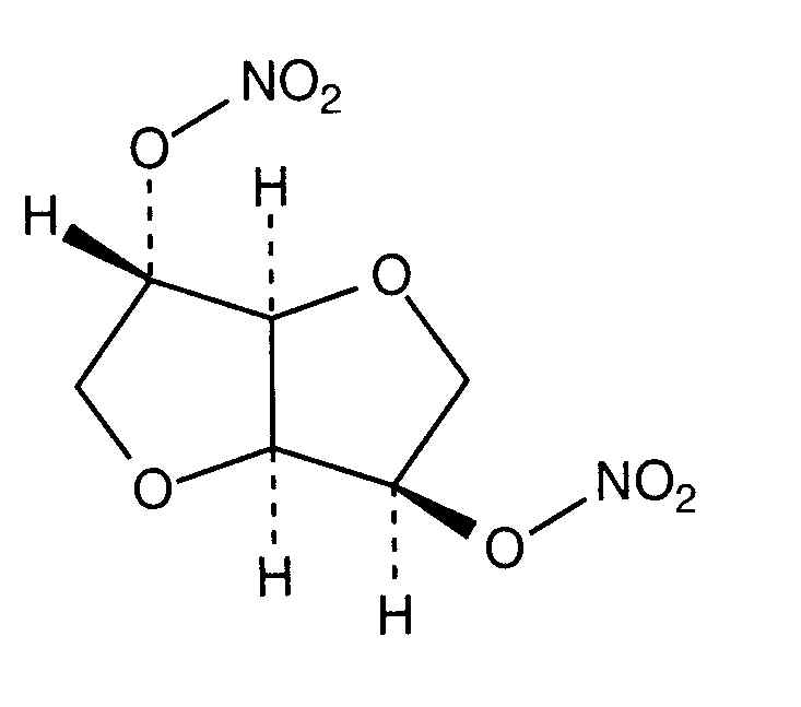
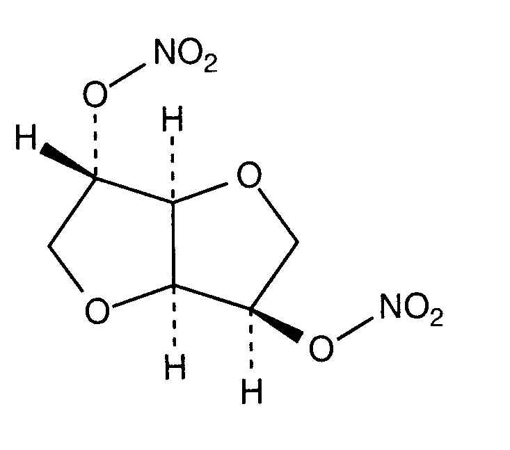
   Molecuulstructuur  

Merknamen in verschillende landen   Merknamen in verschillende landen     

Handelsnamen zijn slechts een indicatie; de samenstelling van hulpstoffen kan per land variëren afhankelijk van de fabrikant

Angsobide Maleisië
Cedocard Nederland
Diniket Italië
Dinit Groot Britannië
Ekilbran Mexico
Isoket Egypte, Groot Britannië, Ierland, Luxemburg, Maleisië, Mexico, Oostenrijk, Peru, Polen, Portugal, Saudi-Arabië, Venezuela, Verenigde Arabische Emiraten, Zwitserland
Isonit Ecuador, Peru
Nitrosid Finland
Nitrosorbide Italië
Risordan Frankrijk
Zanisor Mexico
Stabiliteit in oplossing   injecteerbaar geneesmiddel   Stabiliteit in oplossing : Isosorbide dinitrate     
Verpakking Oplosmiddel Concentratie Temperatuur Bewaring Duur van de stabiliteit Literatuur
Glas Natriumchloride 0,9% 0,095 mg/ml 21°C Buiten invloed van licht
24 Uur
350

Polyethyleen (PE) Natriumchloride 0,9% 0,02 mg/ml 22°C Buiten invloed van licht
24 Uur
1067
Bewijsniveau C

Polyethyleen (PE) Natriumchloride 0,9% 0,02 mg/ml 4°C Buiten invloed van licht
24 Uur
1067
Bewijsniveau C

Polyethyleen (PE) Natriumchloride 0,9% 0,095 mg/ml 21°C Buiten invloed van licht
24 Uur
350

Polyethyleen (PE) Glucose 5% 0,02 mg/ml 22°C Buiten invloed van licht
24 Uur
1067
Bewijsniveau C

Polyethyleen (PE) Glucose 5% 0,02 mg/ml 4°C Buiten invloed van licht
24 Uur
1067
Bewijsniveau C

injectiespuit polypropyleen Natriumchloride 0,9% 0,6 mg/ml 2-8°C Buiten invloed van licht
28 Dag
4374
Bewijsniveau C+


  Mentions Légales