Ultimo aggiornamento :
27/04/2026
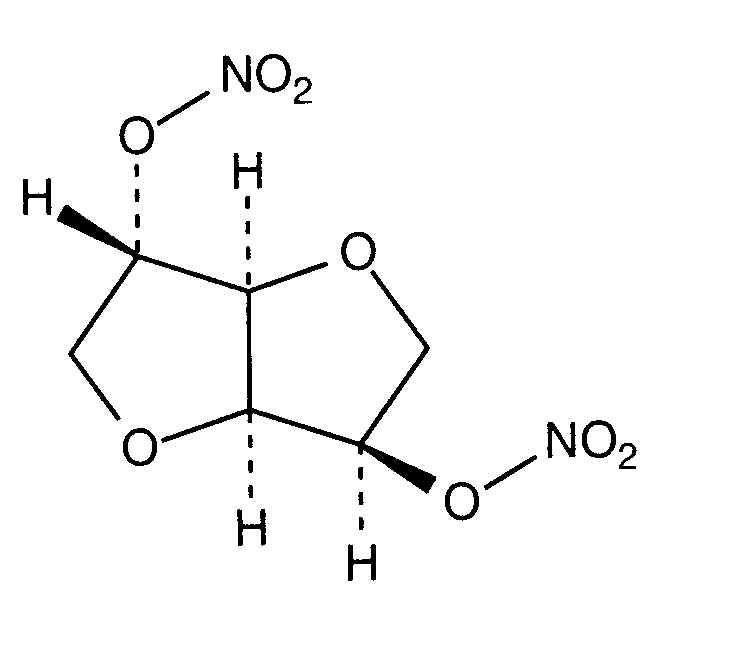
Vasodilatatore   Isosorbide dinitrate  
Iniezione
Stabilità in soluzione Stabilità in miscela Fattori che influenzano la stabilità Compatibilità metodo di iniezione Bibliografia pdf
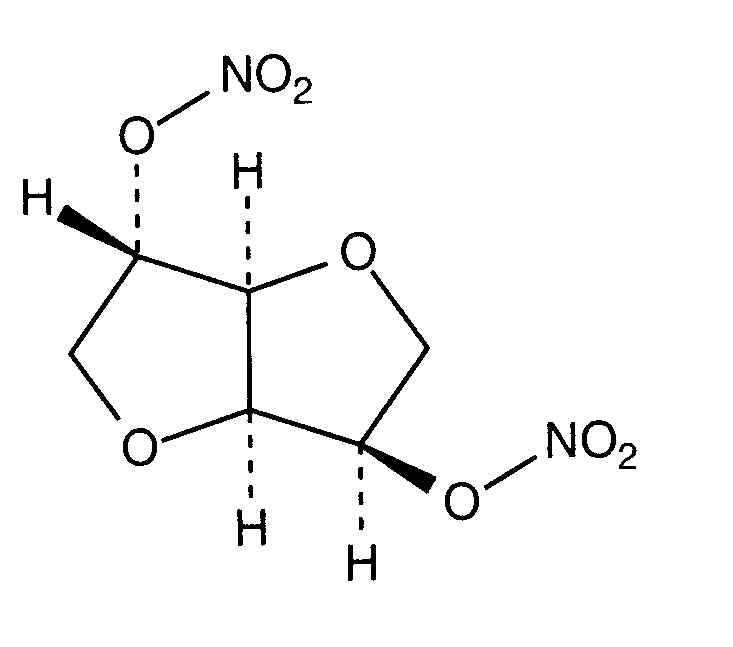
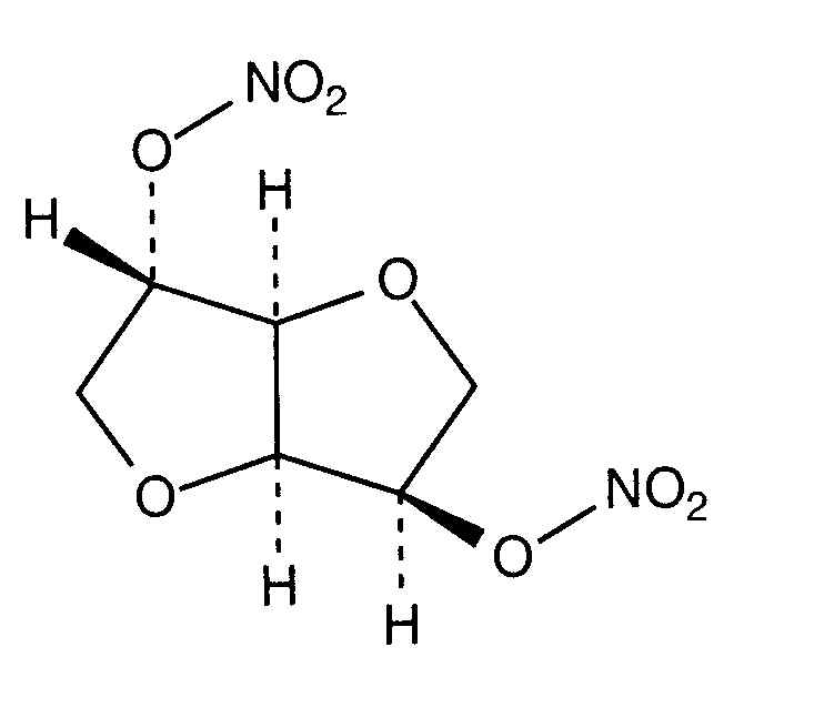
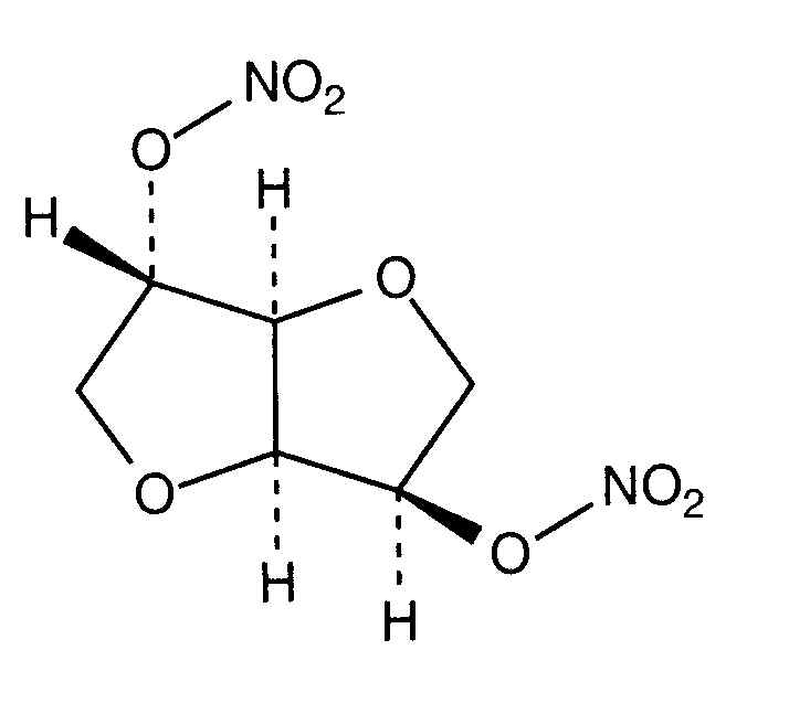
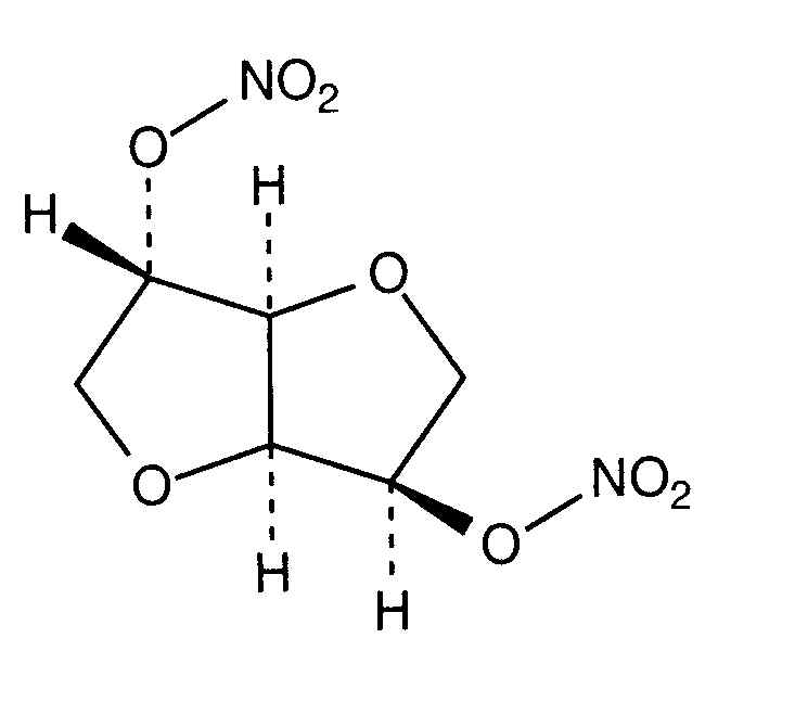
   Struttura chimica  

Nome commerciale   Nome commerciale     

Trade names are indicative and excipients composition can be different depending on the country and manufacturers

Angsobide Malaysia
Cedocard Paesi Bassi
Diniket Italia
Dinit Gran Bretagna
Ekilbran Messico
Isoket Arabia Saudita, Austria, Egitto, Emirati Arabi Uniti, Gran Bretagna, Irlanda, Lussemburgo, Malaysia, Messico, Perù, Polonia, Portogallo, Svizzera, Venezuela
Isonit Ecuador, Perù
Nitrosid Finlandia
Nitrosorbide Italia
Risordan Francia
Zanisor Messico
Stabilità in soluzione   Iniezione   Stabilità in soluzione : Isosorbide dinitrate     
contenitore Solvente Concentrazione Temperatura Conservazione Durata della stabilità Bibliografia
Vetro Cloruro di sodio 0,9% 0,095 mg/ml 21°C Al riparo dalla luce
24 Ora
350

Polietilene Cloruro di sodio 0,9% 0,02 mg/ml 22°C Al riparo dalla luce
24 Ora
1067
Livello di evidenza C

Polietilene Cloruro di sodio 0,9% 0,02 mg/ml 4°C Al riparo dalla luce
24 Ora
1067
Livello di evidenza C

Polietilene Cloruro di sodio 0,9% 0,095 mg/ml 21°C Al riparo dalla luce
24 Ora
350

Polietilene Glucosio 5% 0,02 mg/ml 22°C Al riparo dalla luce
24 Ora
1067
Livello di evidenza C

Polietilene Glucosio 5% 0,02 mg/ml 4°C Al riparo dalla luce
24 Ora
1067
Livello di evidenza C

siringa polipropilene Cloruro di sodio 0,9% 0,6 mg/ml 2-8°C Al riparo dalla luce
28 Giorno
4374
Livello di evidenza C+


  Mentions Légales