Ostatnia aktualizacja :
27/04/2026
Lek rozszerzający naczynia   Isosorbide dinitrate  
Injekcje
Trwałość roztworów Trwałość w mieszaninie Czynnik wpływający na trwałość Zgodność Sposób podania Bibliografia pdf
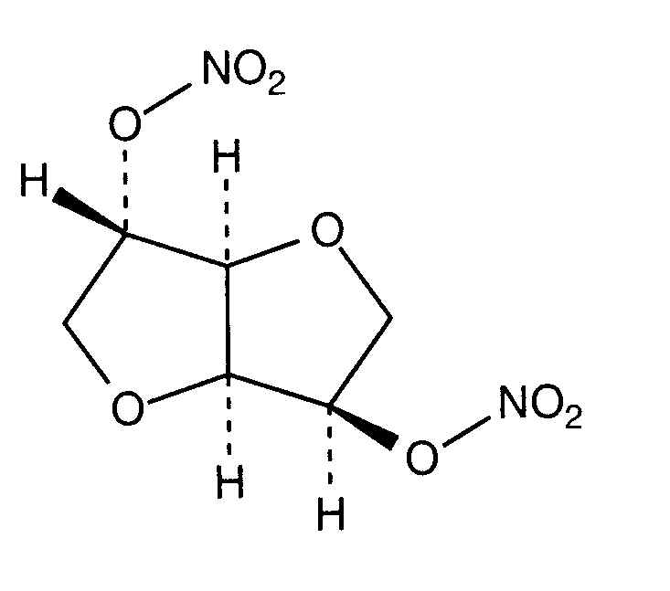
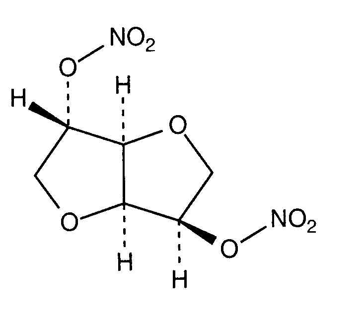
   Struktura chemiczna  

Nazwa handlowa   Nazwa handlowa     

Trade names are indicative and excipients composition can be different depending on the country and manufacturers

Angsobide Malezja
Cedocard Holandia
Diniket Włochy
Dinit Wielka Brytania
Ekilbran Meksyk
Isoket Arabia Saudyjska, Austria, Egipt, Irlandia, Luksemburg, Malezja, Meksyk, Peru, Polska, Portugalia, Szwajcaria, Wenezuela, Wielka Brytania, Zjednoczone Emiraty Arabskie
Isonit Ekwador, Peru
Nitrosid Finlandia
Nitrosorbide Włochy
Risordan Francja
Zanisor Meksyk
Trwałość roztworów   Injekcje   Trwałość roztworów : Isosorbide dinitrate     
Pojemnik Rozpuszczalnik Stężenie Temperatura Przechowywanie Czas trwania stabilności Bibliografia
Szkło Chlorek sodu 0,9% 0,095 mg/ml 21°C Chronić od światła
24 Godzina
350

Polietylen Chlorek sodu 0,9% 0,02 mg/ml 22°C Chronić od światła
24 Godzina
1067
Poziom wiarygodności C

Polietylen Chlorek sodu 0,9% 0,02 mg/ml 4°C Chronić od światła
24 Godzina
1067
Poziom wiarygodności C

Polietylen Chlorek sodu 0,9% 0,095 mg/ml 21°C Chronić od światła
24 Godzina
350

Polietylen Glukoza 5% 0,02 mg/ml 22°C Chronić od światła
24 Godzina
1067
Poziom wiarygodności C

Polietylen Glukoza 5% 0,02 mg/ml 4°C Chronić od światła
24 Godzina
1067
Poziom wiarygodności C

Strzykawka Chlorek sodu 0,9% 0,6 mg/ml 2-8°C Chronić od światła
28 Dzień
4374
Poziom wiarygodności C+


  Mentions Légales