Ultimele actualizari :
27/04/2026
Vasodilatator   Isosorbide dinitrate  
Injectabil
Stabilitatea in solutie Stabilitatea in amestec Factorii care influenteaza stabilitatea Compatibilitate Microunde Bibliografie pdf
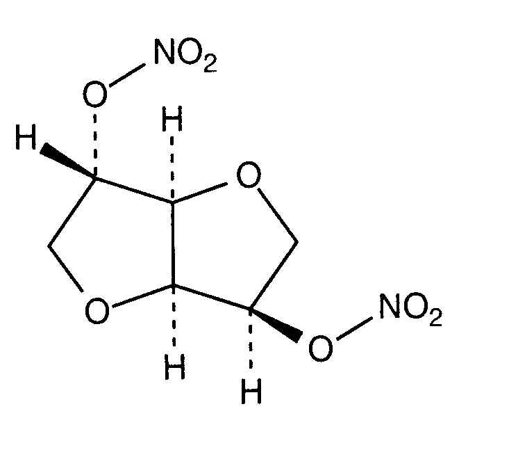
   Formula chimica  

Denumirea comerciala   Denumirea comerciala     

Trade names are indicative and excipients composition can be different depending on the country and manufacturers

Angsobide Malaezia
Cedocard Olanda
Diniket Italia
Dinit Marea Britanie
Ekilbran Mexic
Isoket Arabia Saudita, Austria, Egipt, Elvetia, Emiratele Arabe Unite, Irlanda, Luxemburg, Malaezia, Marea Britanie, Mexic, Peru, Polonia, Portugalia, Venezuela
Isonit Ecuador, Peru
Nitrosid Finlanda
Nitrosorbide Italia
Risordan Franta
Zanisor Mexic
Stabilitatea in solutie   Injectabil   Stabilitatea in solutie : Isosorbide dinitrate     
Continut Solvent Concentratie Temperatura Conservare Durata stabilității Bibiografie
sticla clorura de sodiu 0,9% 0,095 mg/ml 21°C Ferit de lumina
24 Ora
350

polietilen clorura de sodiu 0,9% 0,02 mg/ml 22°C Ferit de lumina
24 Ora
1067
Nivel de evidență C

polietilen clorura de sodiu 0,9% 0,02 mg/ml 4°C Ferit de lumina
24 Ora
1067
Nivel de evidență C

polietilen clorura de sodiu 0,9% 0,095 mg/ml 21°C Ferit de lumina
24 Ora
350

polietilen Glucoza 5% 0,02 mg/ml 22°C Ferit de lumina
24 Ora
1067
Nivel de evidență C

polietilen Glucoza 5% 0,02 mg/ml 4°C Ferit de lumina
24 Ora
1067
Nivel de evidență C

seringă polipropileno clorura de sodiu 0,9% 0,6 mg/ml 2-8°C Ferit de lumina
28 Ziua
4374
Nivel de evidență C+


  Mentions Légales