Son güncelleme :
27/04/2026
Diüretik   Spironolactone  
Merhem
Oral solüsyon / oral çözelti
Farmasötik preparatlar Kararlılığı Karışımlardaki stabilitesi Stabiliteyi etkileyen faktörler Uyumluluk Kaynaklar pdf
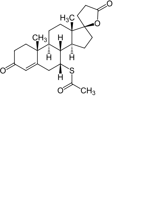
   Kimyasal yapı   

Merhem
Uyumluluk   Merhem   Uyumluluk : Spironolactone              
veri yok

  Mentions Légales