zadnja posodobitev :
27/04/2026
Diuretik   Spironolactone  
Mazila
Peroralna raztopina
Stabilnost farmacevtskih preparatov Stabilnost mešanice Faktorji, ki vplivajo na stabilnost Kompatibilnost Viri pdf
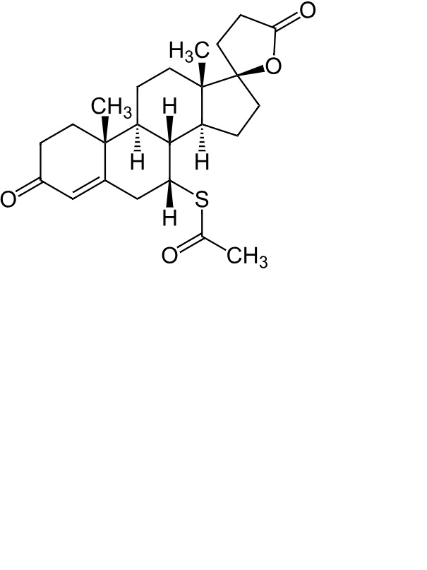
   Kemična formula  

Mazila
Kompatibilnost   Mazila   Kompatibilnost : Spironolactone              
ni podatka

  Mentions Légales