Poslední aktualizace :
27/04/2026
Diuretikas   Spironolactone  
Tepalai
Geriamas tirpalas
Stabilumas farmacinių preparatų Mišinių stabilumas Stabilumą lemiantys veiksniai Suderinamumas Bibliografija pdf
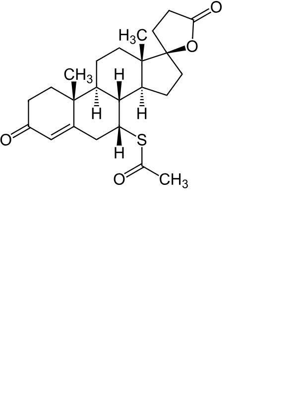
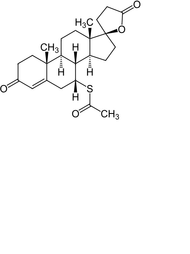
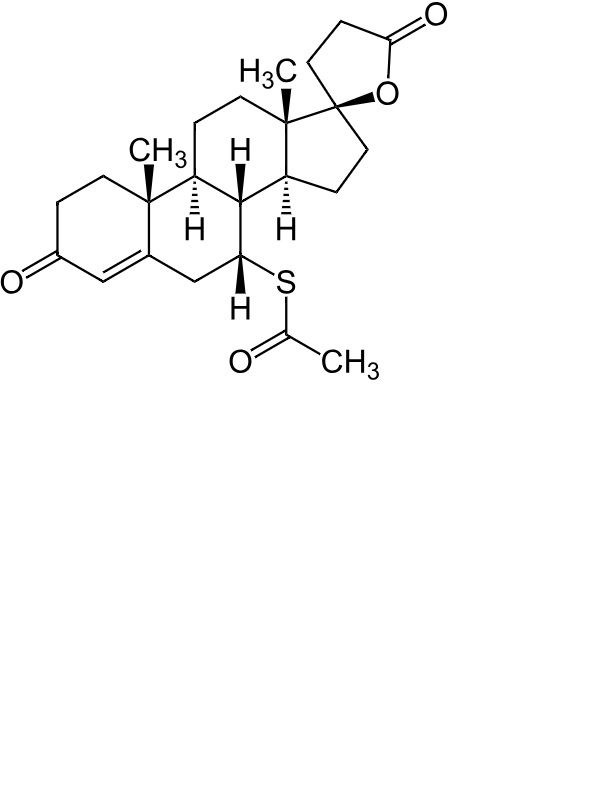
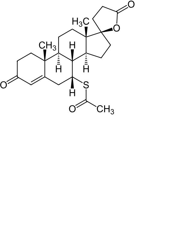
   Cheminė sandara  

Tepalai
Suderinamumas   Tepalai   Suderinamumas : Spironolactone              
Nėra duomenų

  Mentions Légales