Posledná aktualizácia :
27/04/2026
diuretikum   Spironolactone  
Dermálny prípravok
Perorálny roztok
Stabilita farmaceutických prípravkov Stabilita v zmesiach Faktory ovplyvňujúce stabilitu Kompatibility Odkazy na literatúru PDF
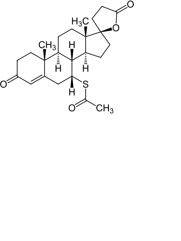
   Chemický vzorec  

Dermálny prípravok
Kompatibility   Dermálny prípravok   Kompatibility : Spironolactone              
žiadne údaje

  Mentions Légales