Zadnji put ažurirano :
27/04/2026
diuretici   Spironolactone  
masti
oralna otopina
Stabilnost farmaceutskih pripravaka Stabilnost mješavine Stabilizacijski faktor Kompatibilnosti Bibliografija pdf
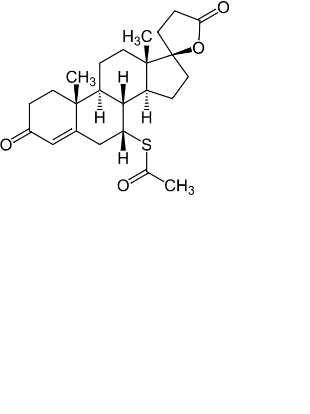
   Kemijska struktura  

masti
Kompatibilnosti   masti   Kompatibilnosti : Spironolactone              
bez podataka

  Mentions Légales