Ultimele actualizari :
27/04/2026
Diuretic   Spironolactone  
Unguente
Soluţie orală
Stabilitatea preparatelor farmaceutice Stabilitatea in amestec Factorii care influenteaza stabilitatea Compatibilitate Bibliografie pdf
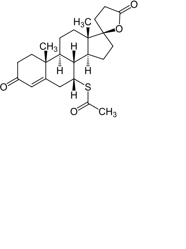
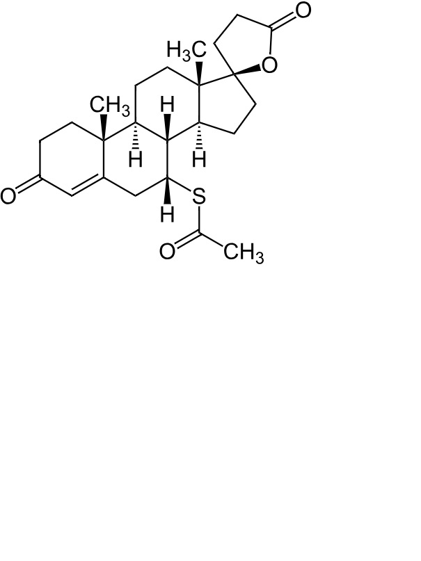
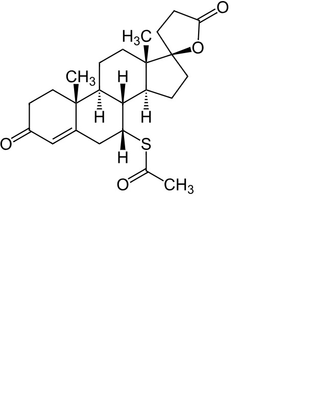
   Formula chimica  

Unguente
Compatibilitate   Unguente   Compatibilitate : Spironolactone              
Absenta de date

  Mentions Légales