Last update :
27/04/2026
Diuretic   Spironolactone  
Ointments
Oral solution
Stability of pharmaceutical preparations Stability of mixtures Factors which affect stability Compatibility References pdf
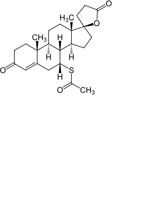
   Chemical structure  

Ointments
Compatibility   Ointments   Compatibility : Spironolactone              
No data

  Mentions Légales