آخر تحديث :
27/04/2026
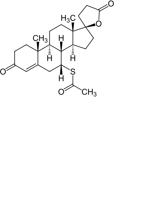
مدر للبول   Spironolactone  
المراهم
عن طريق الفم
استقرار المستحضرات الصيدلانية استقرار مخاليط العوامل التي تؤثر على الاستقرار التوافق مراجع pdf
   التركيب الكيميائي  

المراهم
التوافق   المراهم   التوافق : Spironolactone              
لا توجد بيانات

  Mentions Légales