Viimeisin päivitys :
27/04/2026
Infostab
Luettelo yhdisteistä
Yhteenveto-luettelot
Etsi yhteensopivuutta
Y-sivuston yhteensopivuustaulukko
Viitteet
tutkimus Joukkueet
valistab
ilmoitus
Liitännät
sponsorit
Tekijät
Käyttöohje
Uutiskirje
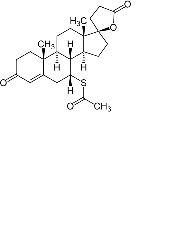
Spironolactone
Kemiallinen rakenne
Yhteensopivuus : Spironolactone
ei tietoa
Mentions Légales