Poslední aktualizace :
27/04/2026
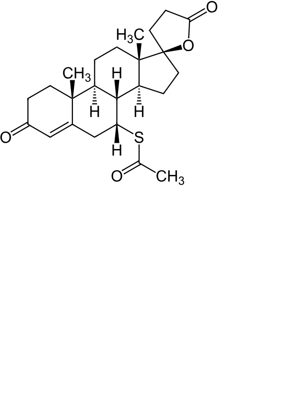
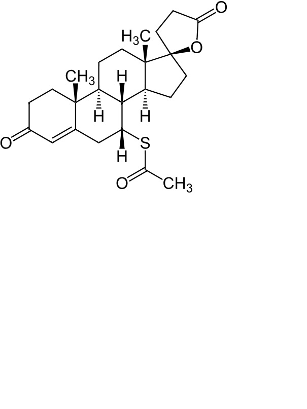
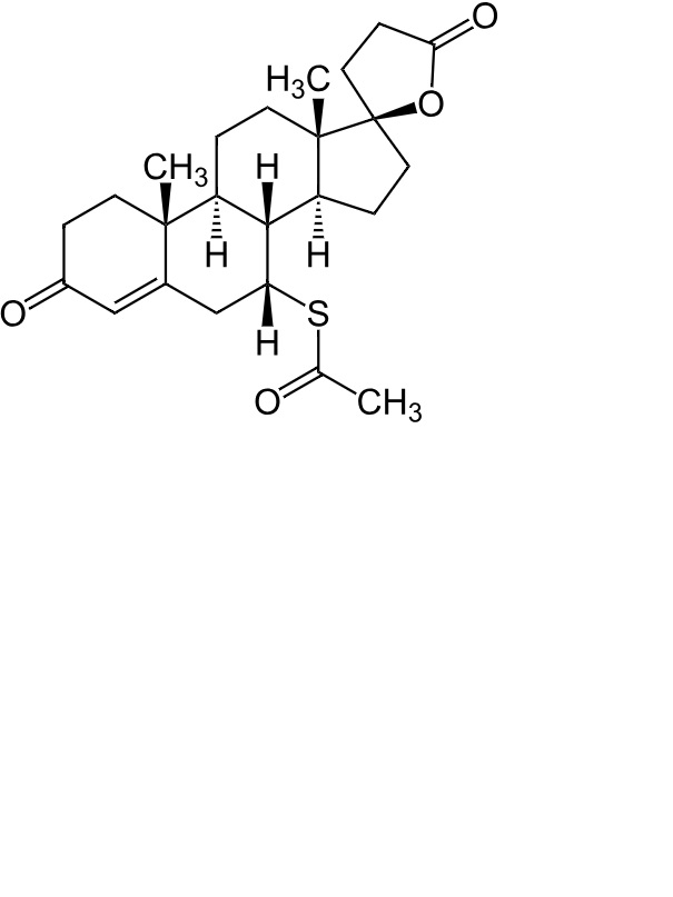
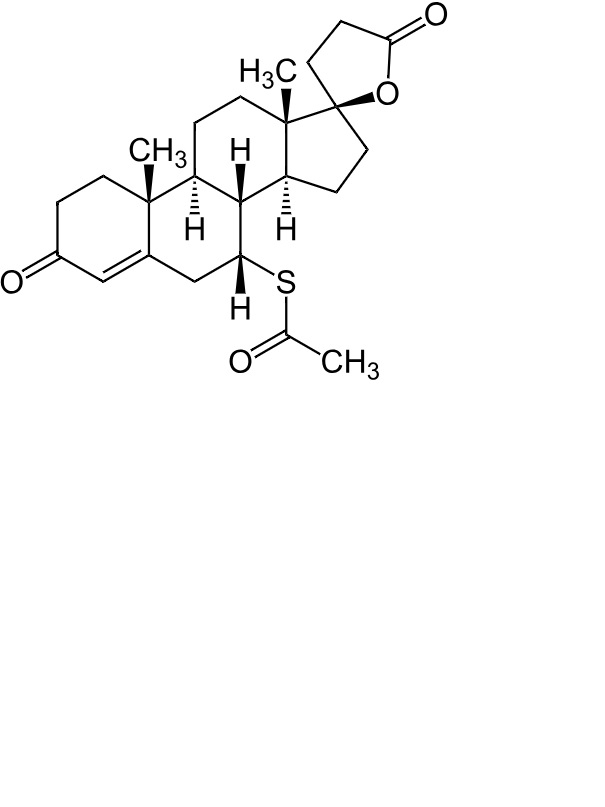
Diuretikum   Spironolactone  
Masti
Perorální roztok
Stabilita farmaceutických přípravků Stabilita směsí Faktory ovlivňující stabilitu Kompatibilita Odkazy pdf
   Chemický vzorec  

Masti
Kompatibilita   Masti   Kompatibilita : Spironolactone              
žádná data

  Mentions Légales