Posledná aktualizácia :
18/03/2026
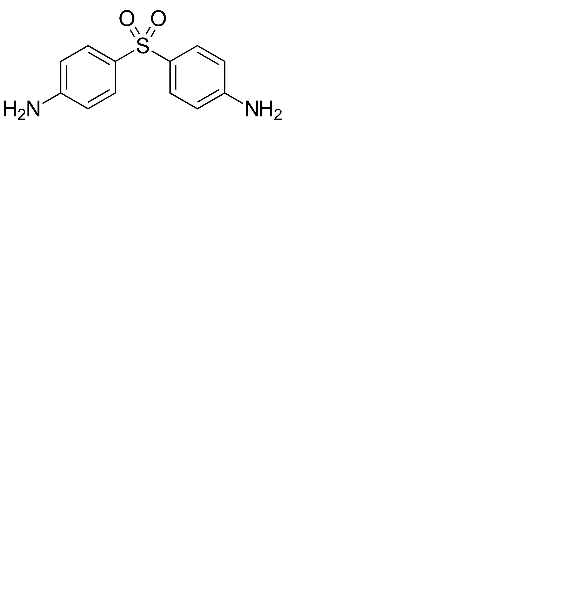
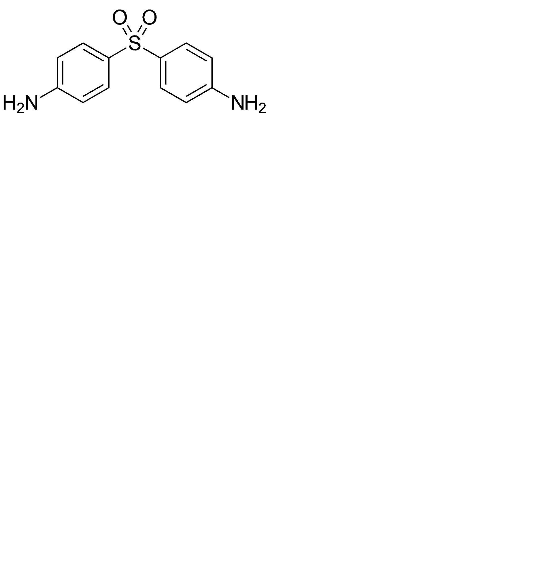
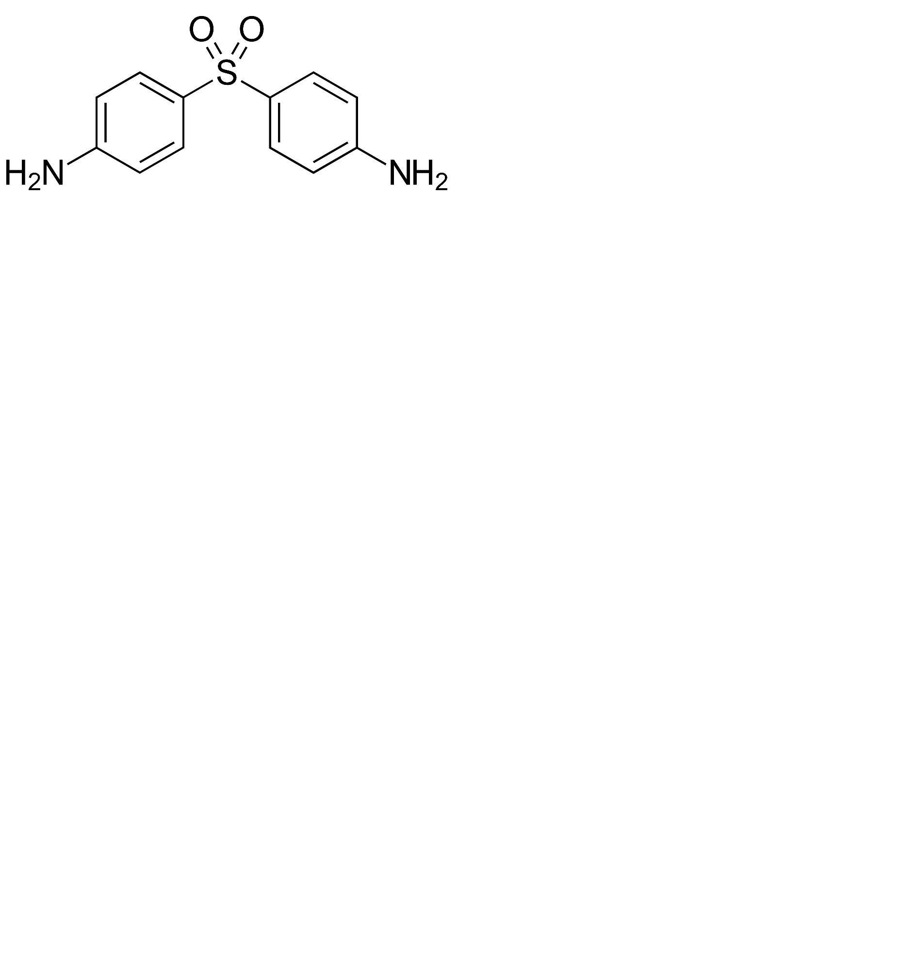
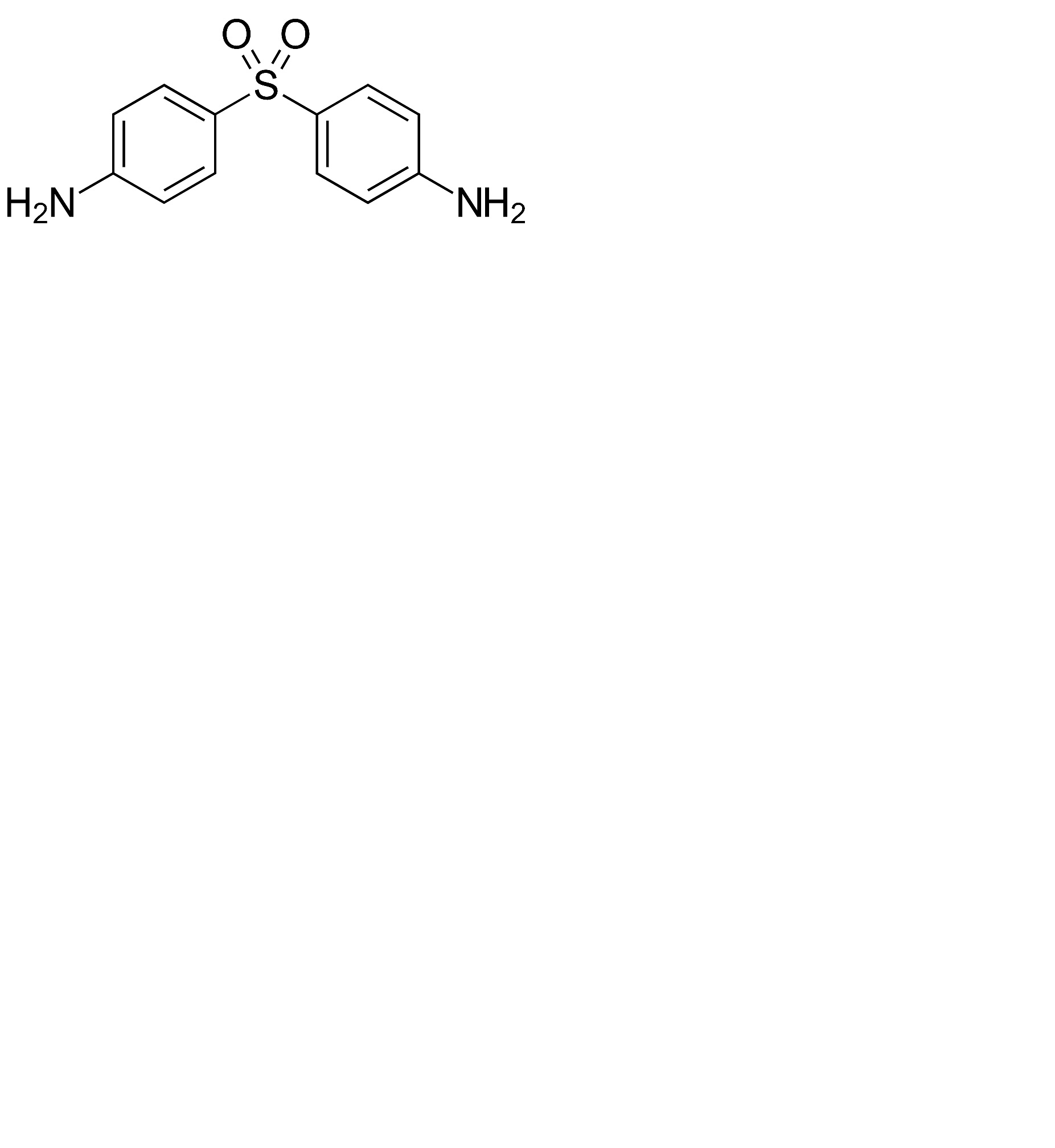
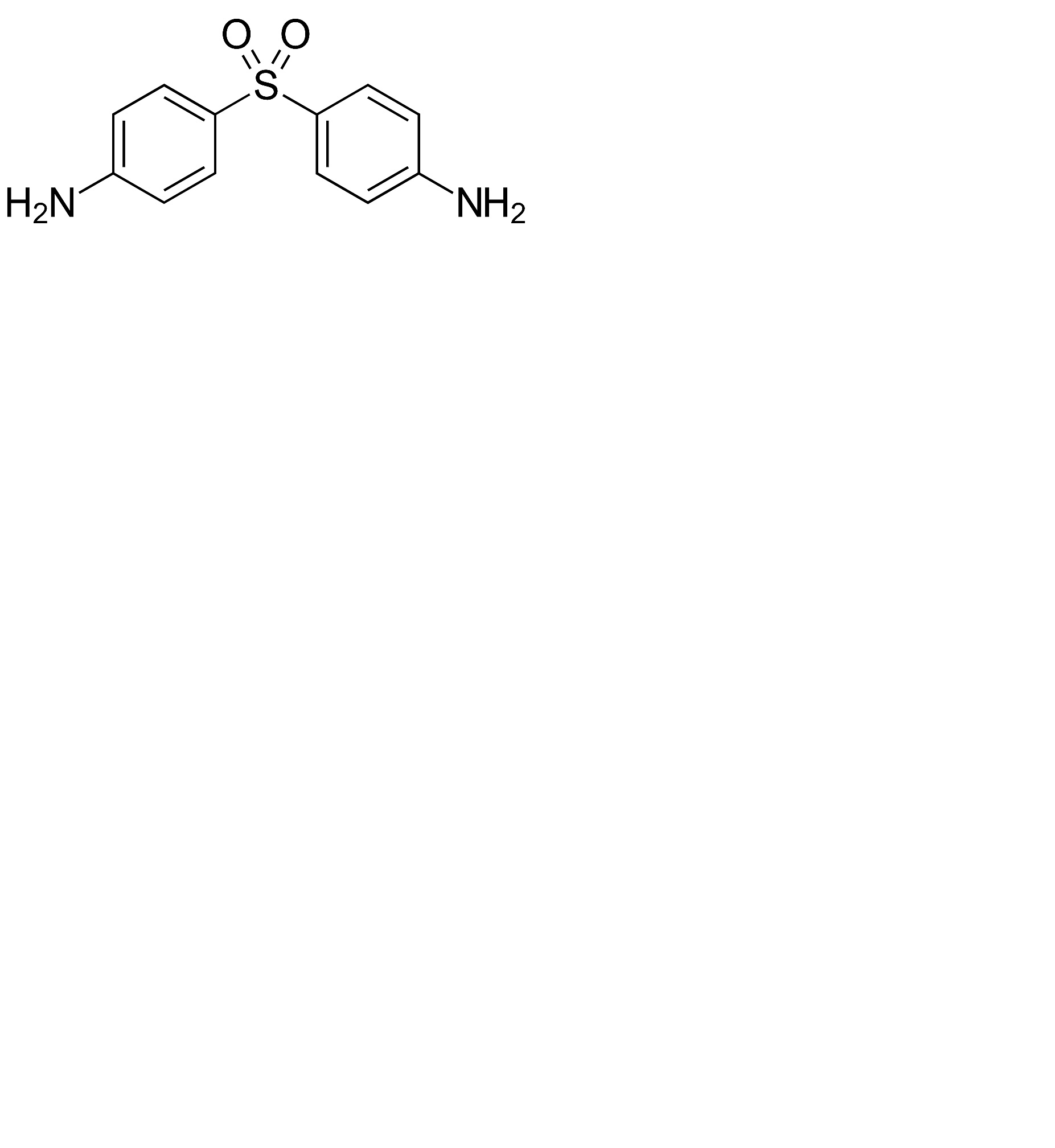
antibiotikum   Dapsone  
Dermálny prípravok
Perorálny roztok
Stabilita farmaceutických prípravkov Stabilita v zmesiach Faktory ovplyvňujúce stabilitu Kompatibility Odkazy na literatúru PDF
   Chemický vzorec  

Dermálny prípravok
Stabilita farmaceutických prípravkov   Dermálny prípravok   Stabilita farmaceutických prípravkov : Dapsone     
obal Pôvod Pomocná látka teplota uchovávanie Trvanie stability odkazy na lieteratúru
Plastová fľaša Prášok 2000 mg
® = ?
Cleoderm® >> 40 g
15-30°C Chránené pred svetlom
180 dní
4879
Plastová fľaša Prášok 4000 mg
® = ?
Cleoderm® >> 40 g
15-30°C Chránené pred svetlom
180 dní
4879

  Mentions Légales