Senaste uppdateringen :
27/01/2026
Antibiotikum   Dapsone  
Salvor
Oral lösning
Stabilitet av läkemedel Stabilitet i blandningar Faktorer som påverkar stabiliteten Kompatibilitet Hänvisningar pdf
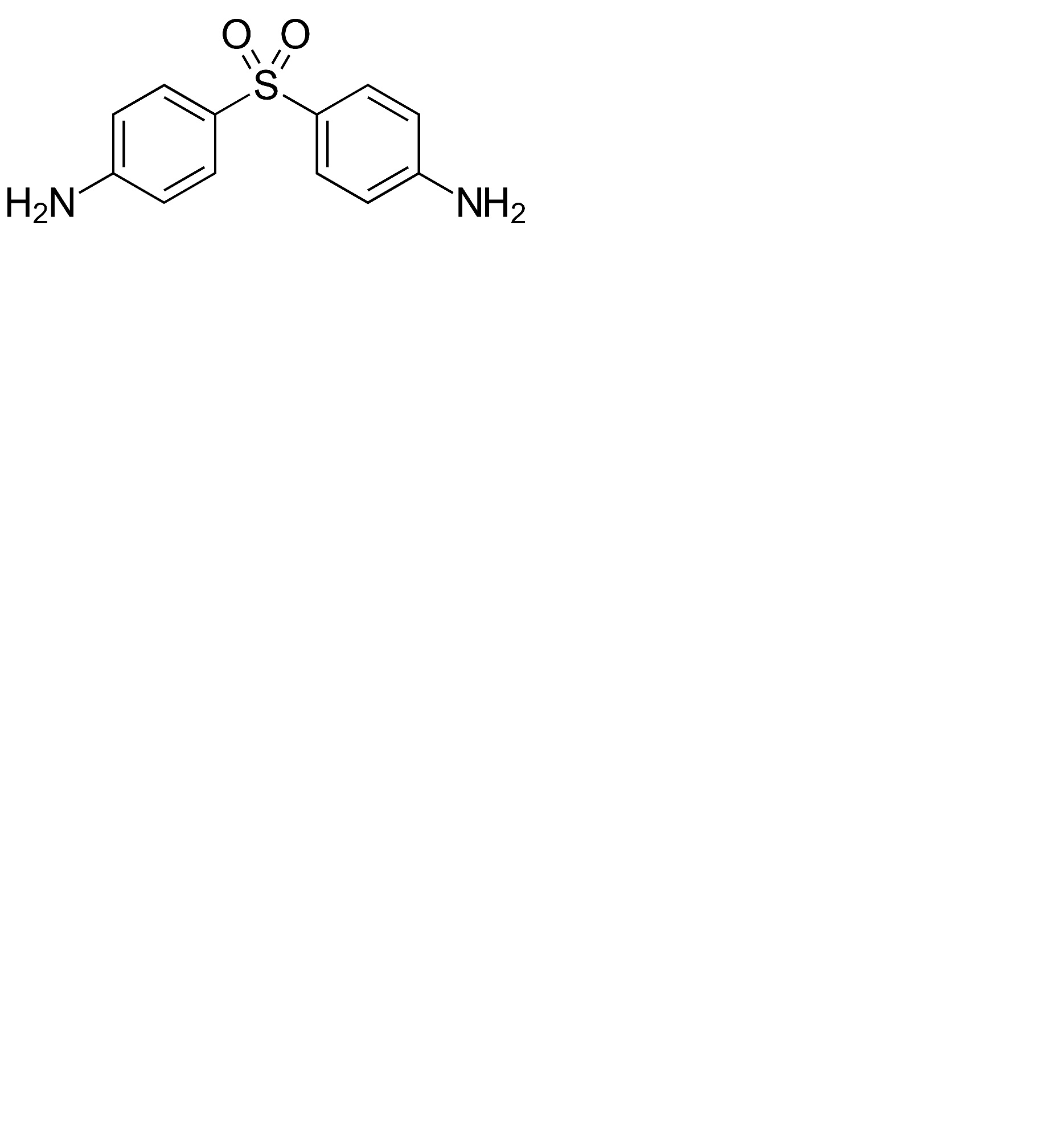
   Molekylstruktur  

Salvor
Stabilitet av läkemedel   Salvor   Stabilitet av läkemedel : Dapsone     
Behållare Origine Hjälpämne Temperatur Förvaring Stabilitets varaktighet Hänvisningar
Plastflaska Pulver 2000 mg
® = ?
Cleoderm® >> 40 g
15-30°C Skyddas från ljus
180 Dag
4879
Plastflaska Pulver 4000 mg
® = ?
Cleoderm® >> 40 g
15-30°C Skyddas från ljus
180 Dag
4879

  Mentions Légales