Letztes “update” :
27/01/2026
Antibiotikum   Dapsone  
Salben
Lösung zum Einnehmen
Stabilität von pharmazeutischen Präparaten Gemengestabilität Stabilitätbeeinflussende Faktoren Kompatibilitäten Literaturverzeichnis pdf
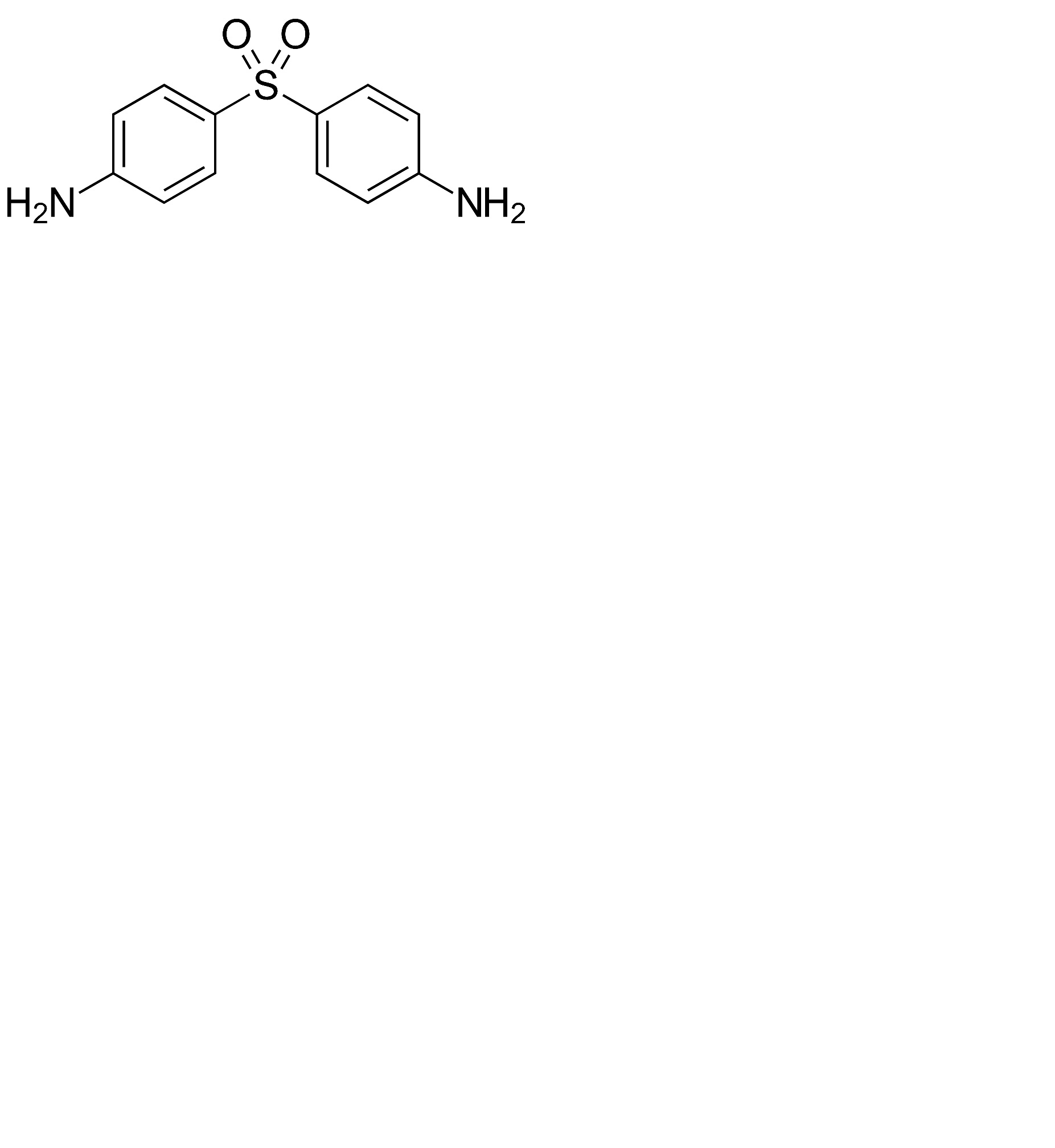
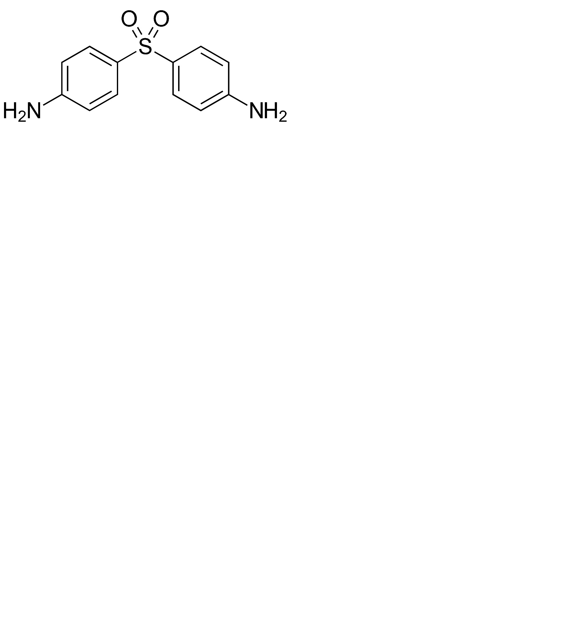
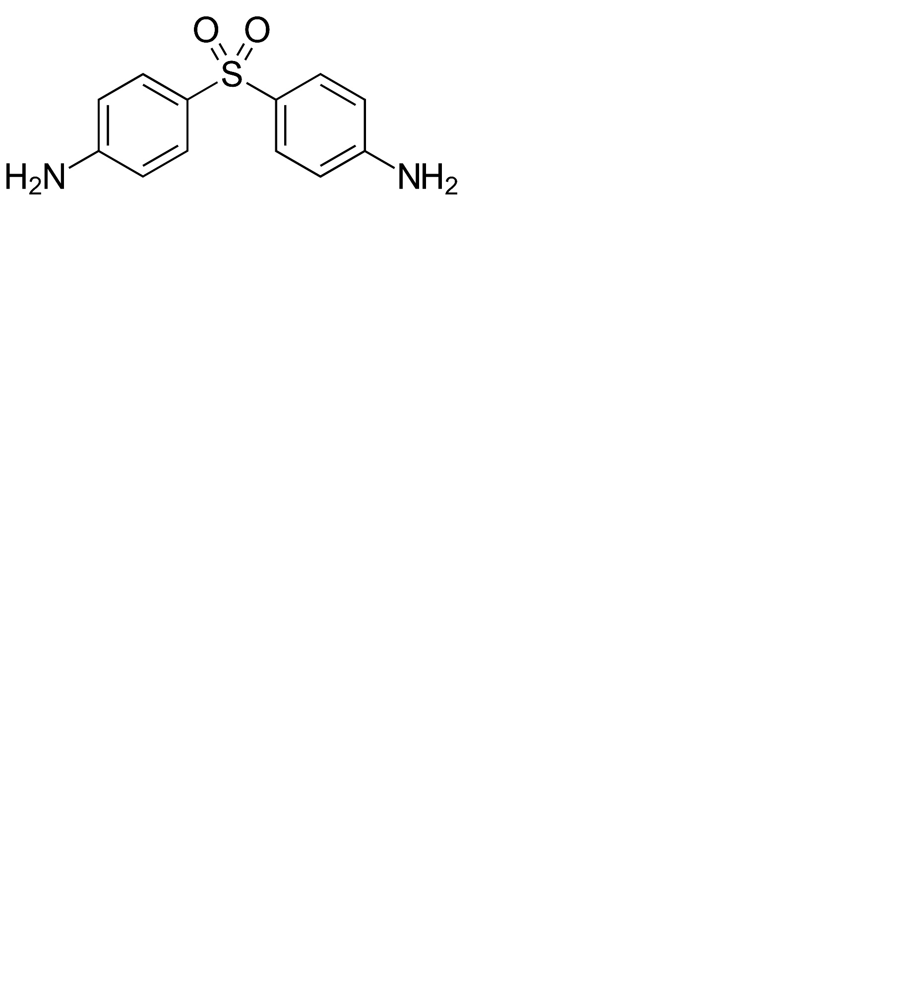
   Chemische Struktur  

Salben
Stabilität von pharmazeutischen Präparaten   Salben   Stabilität von pharmazeutischen Präparaten : Dapsone     
Behälter Origine Hilfsstoff Temperatur Konservierung Dauer der Stabilität Literaturverzeichnis
Plastikflasche Pulver 2000 mg
® = ?
Cleoderm® >> 40 g
15-30°C Ohne Licht
180 Tag
4879
Plastikflasche Pulver 4000 mg
® = ?
Cleoderm® >> 40 g
15-30°C Ohne Licht
180 Tag
4879

  Mentions Légales