Utolsó frissítés :
27/01/2026
Antibiotikum   Dapsone  
kenőcs
belsőleges oldat
Stabilitása gyógyszerészeti készítmények A keverékek stabilitása Stabilitást befolyásoló tényezők Kompatibilitás Irodalom pdf
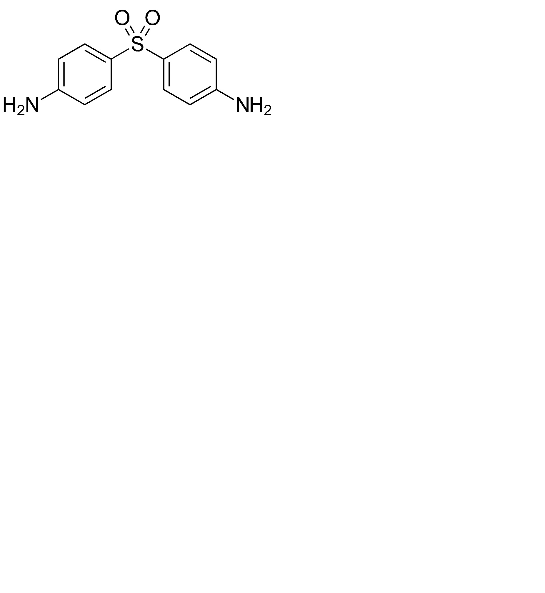
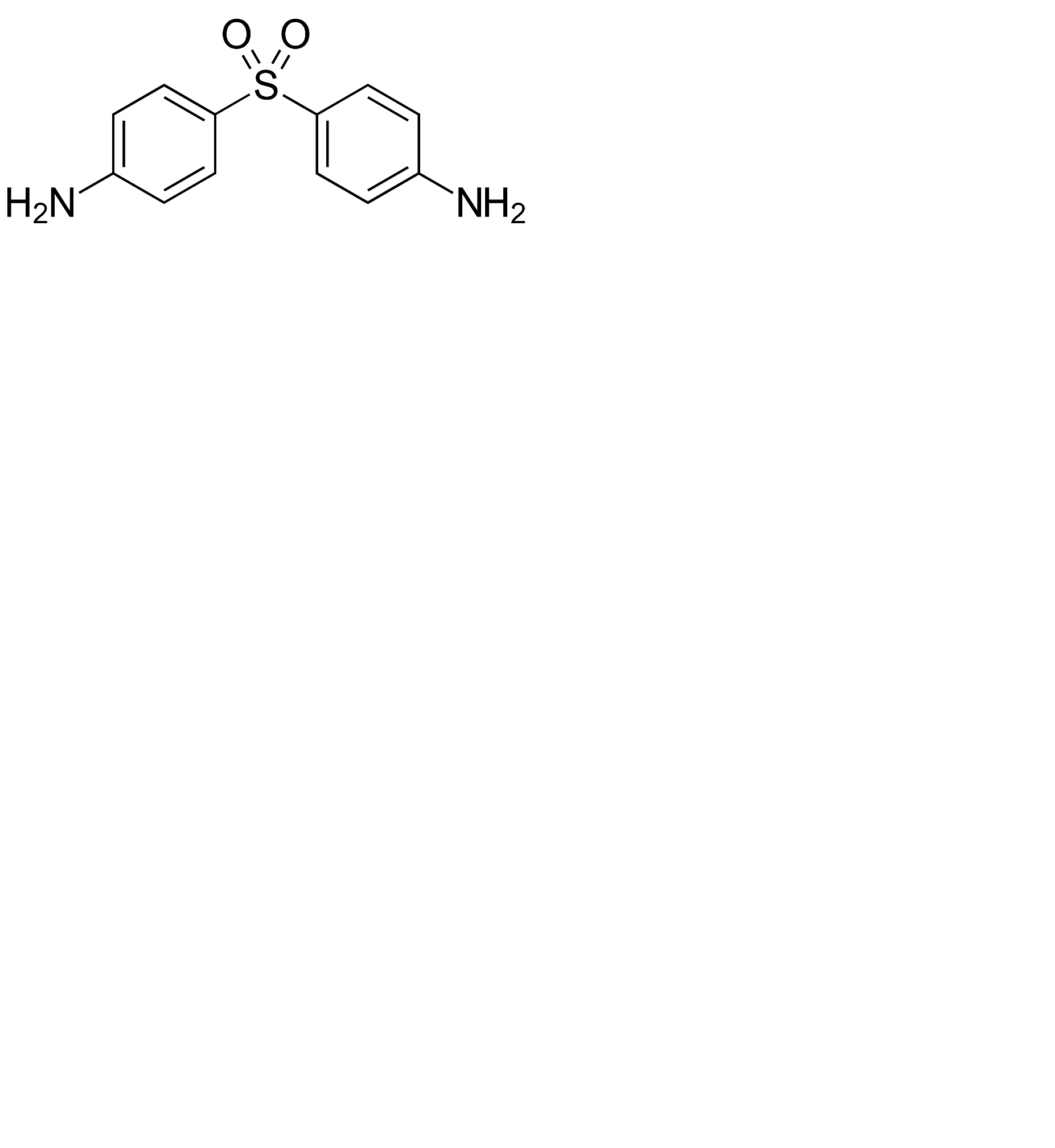
   Kémiai szerkezet   

kenőcs
Stabilitása gyógyszerészeti készítmények   kenőcs   Stabilitása gyógyszerészeti készítmények : Dapsone     
Csomagolás Origine segédanyag Hőmérséklet Tárolás A stabilitás időtartama Irodalom
műanyag flakon por 2000 mg
® = ?
Cleoderm® >> 40 g
15-30°C Fénytől védve tartandó
180 Nap
4879
műanyag flakon por 4000 mg
® = ?
Cleoderm® >> 40 g
15-30°C Fénytől védve tartandó
180 Nap
4879

  Mentions Légales