Zadnji put ažurirano :
18/03/2026
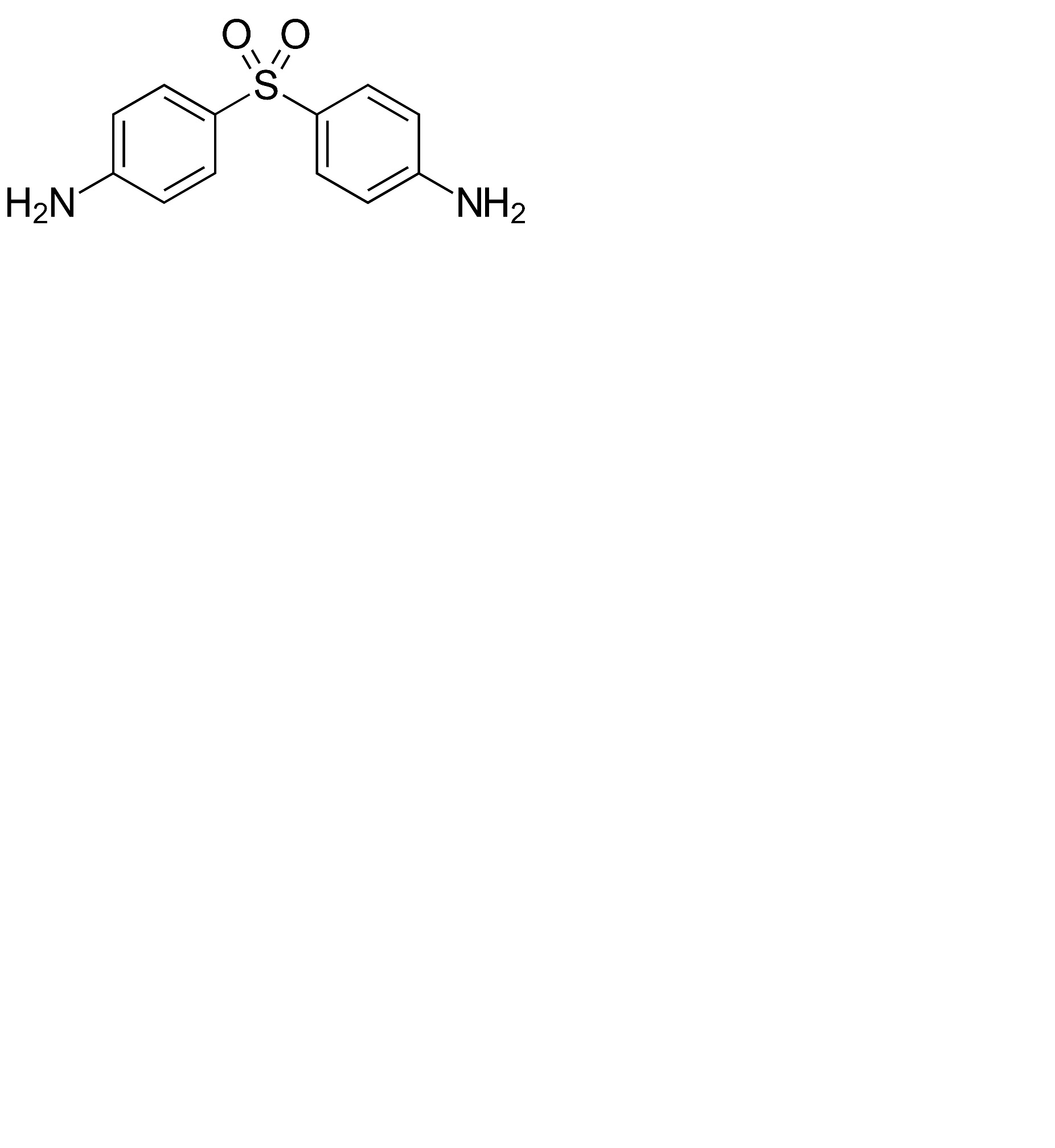
antibiotik   Dapsone  
masti
oralna otopina
Stabilnost farmaceutskih pripravaka Stabilnost mješavine Stabilizacijski faktor Kompatibilnosti Bibliografija pdf
   Kemijska struktura  

masti
Stabilnost farmaceutskih pripravaka   masti   Stabilnost farmaceutskih pripravaka : Dapsone     
Kontejner Origine pomoćna tvar temperatura Konzerviranje Trajanje stabilnosti Bibliografija
plastična boca prašak 2000 mg
® = ?
Cleoderm® >> 40 g
15-30°C Zaštićeno od svjetlosti
180 dan
4879
plastična boca prašak 4000 mg
® = ?
Cleoderm® >> 40 g
15-30°C Zaštićeno od svjetlosti
180 dan
4879

  Mentions Légales