最新更新 :
27/01/2026
抗生素   Dapsone  
药膏
口服剂
制剂的稳定性 混合物稳定性 影响稳定性的因素 兼容性 引用文献 PDF
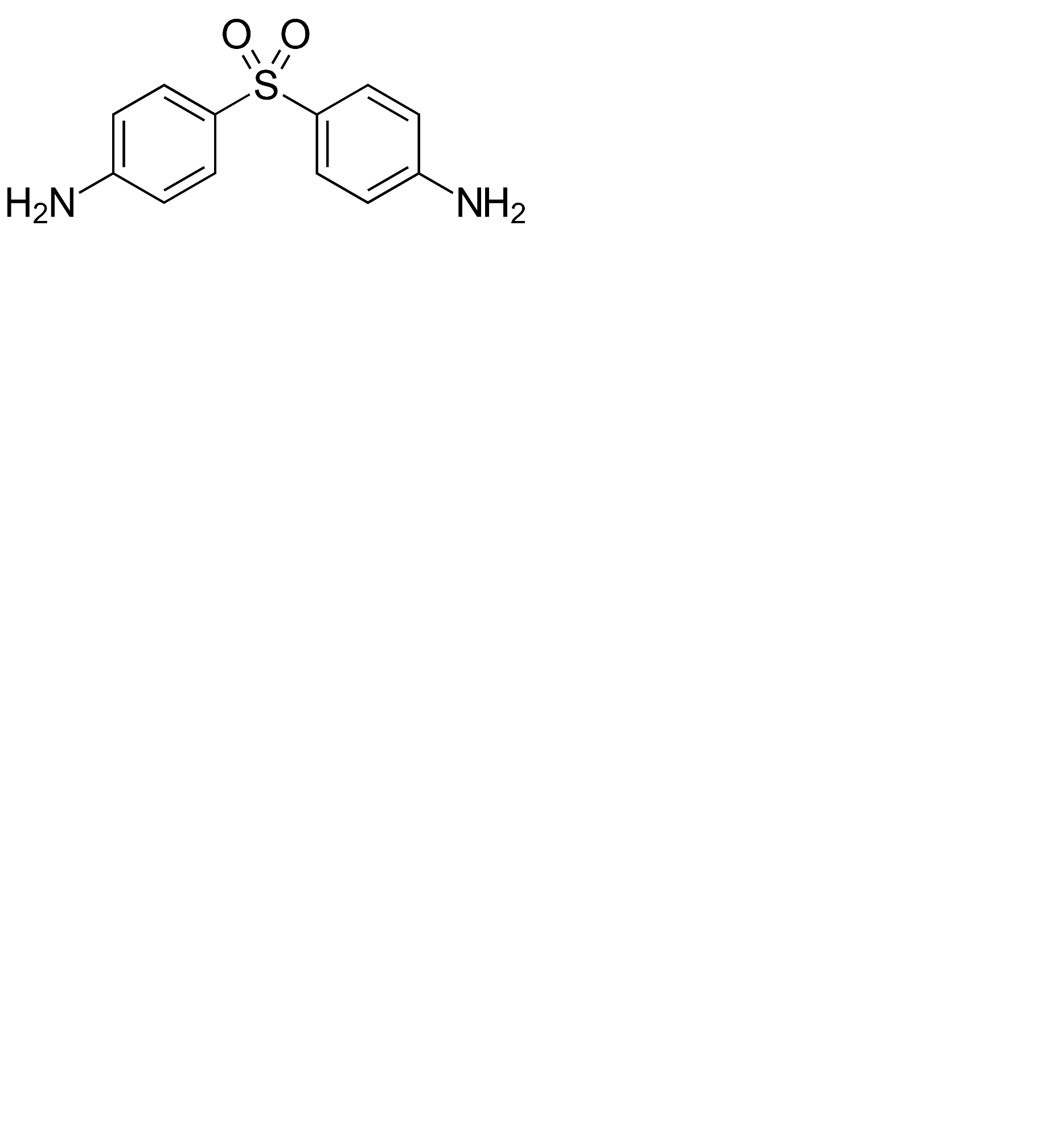
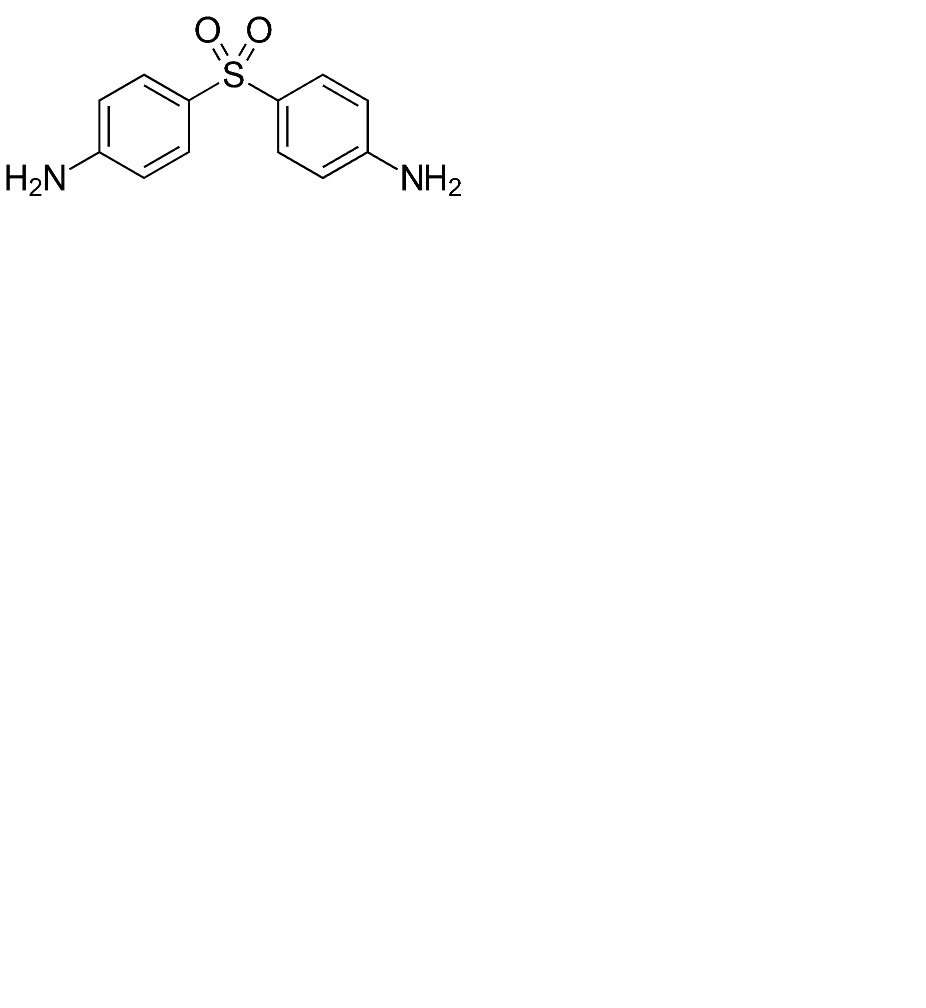
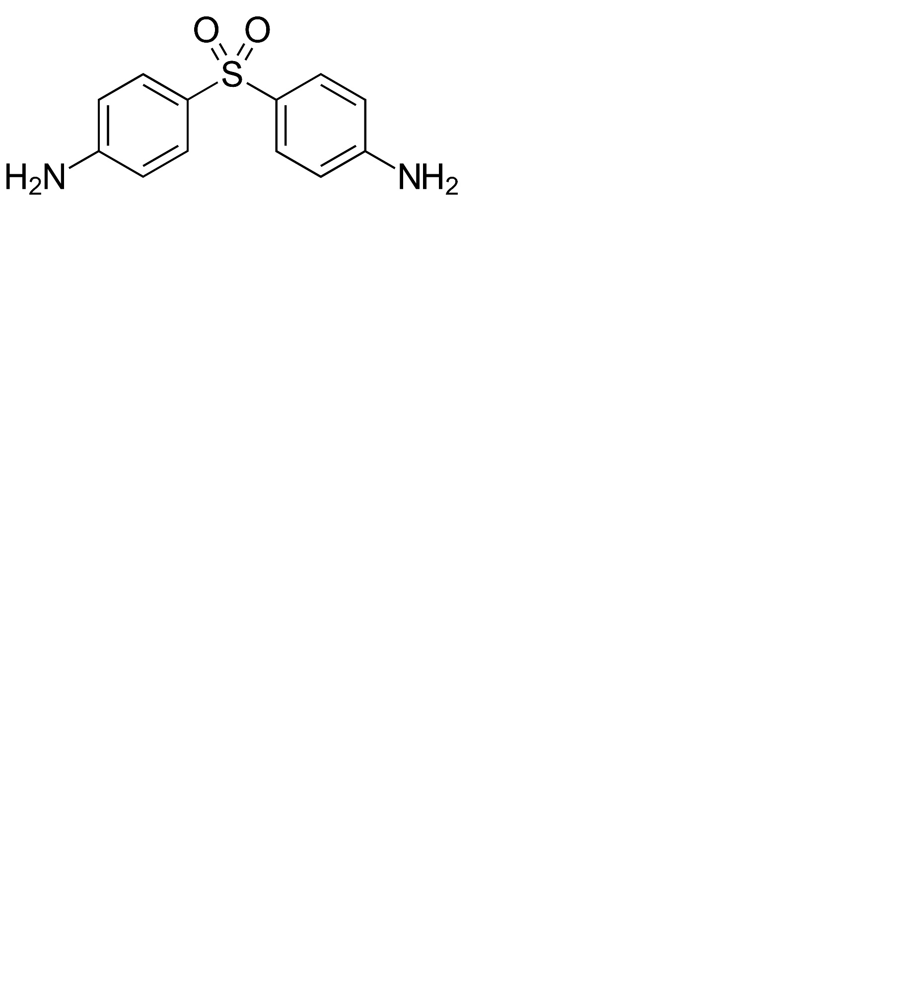
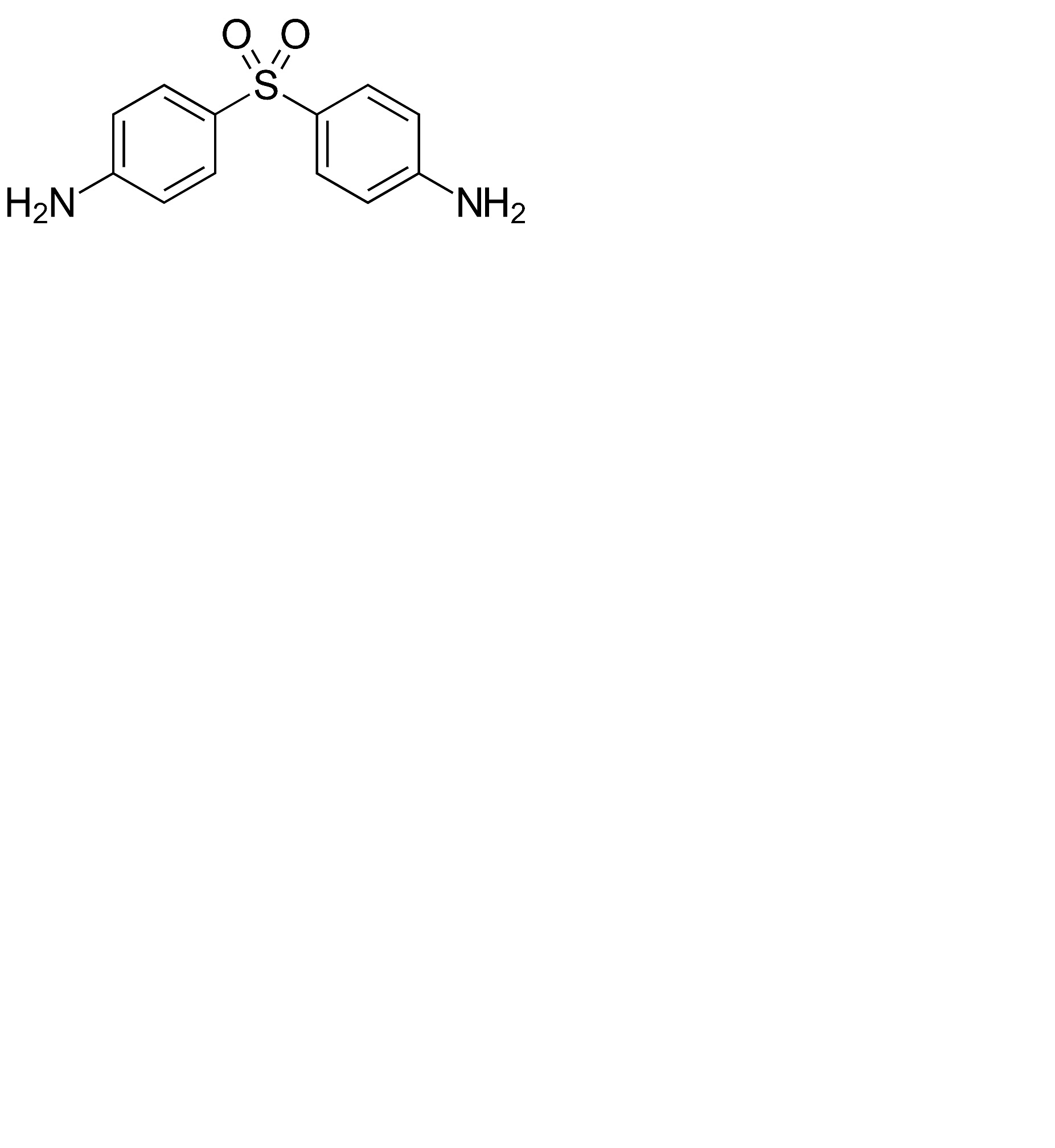
   化学式  

药膏
制剂的稳定性   药膏   制剂的稳定性 : Dapsone     
容器 Origine 添加剂 温度 保存 穩定持續時間 引用文献
塑料瓶 粉剂 2000 mg
® = ?
Cleoderm® >> 40 g
15-30°C 避光
180 白天
4879
塑料瓶 粉剂 4000 mg
® = ?
Cleoderm® >> 40 g
15-30°C 避光
180 白天
4879

  Mentions Légales