Последнее обновление :
18/03/2026
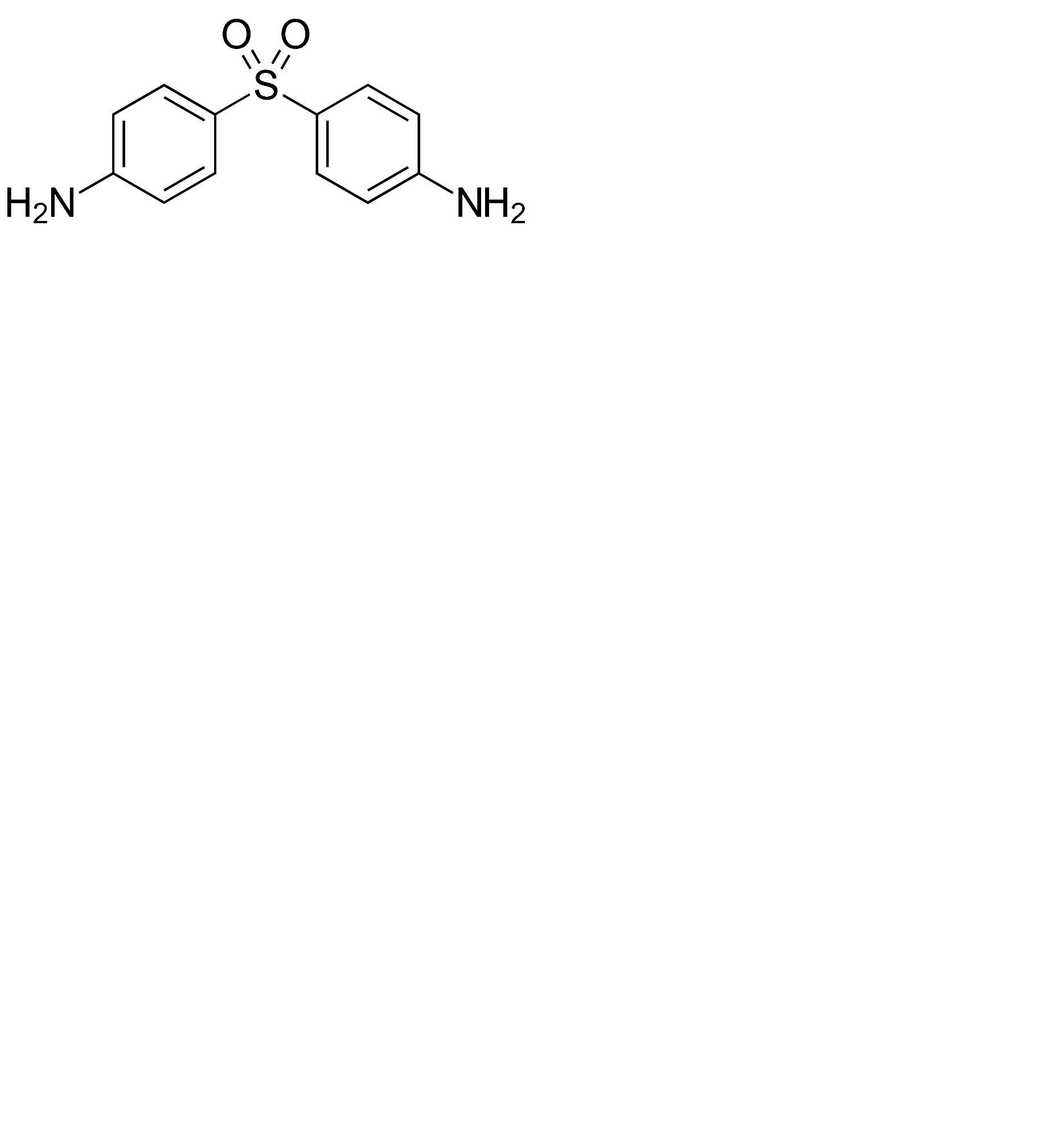
Антибиотик   Dapsone  
Мази
Раствор для перорального приёма
Стабильность фармацевтических препаратов Стабильность смесей Факторы, которые влияют на стабильность Совместимость Библиография pdf
   Химическая структура  

Мази
Стабильность фармацевтических препаратов   Мази   Стабильность фармацевтических препаратов : Dapsone     
Упаковка Origine Наполнитель Температура Хранение Продолжительность стабильности Ссылки
Пластиковая бутылка Порошок 2000 mg
® = ?
Cleoderm® >> 40 g
15-30°C Защищён от света
180 День
4879
Пластиковая бутылка Порошок 4000 mg
® = ?
Cleoderm® >> 40 g
15-30°C Защищён от света
180 День
4879

  Mentions Légales