آخر تحديث :
27/01/2026
مضاد حيوي   Dapsone  
المراهم
عن طريق الفم
استقرار المستحضرات الصيدلانية استقرار مخاليط العوامل التي تؤثر على الاستقرار التوافق مراجع pdf
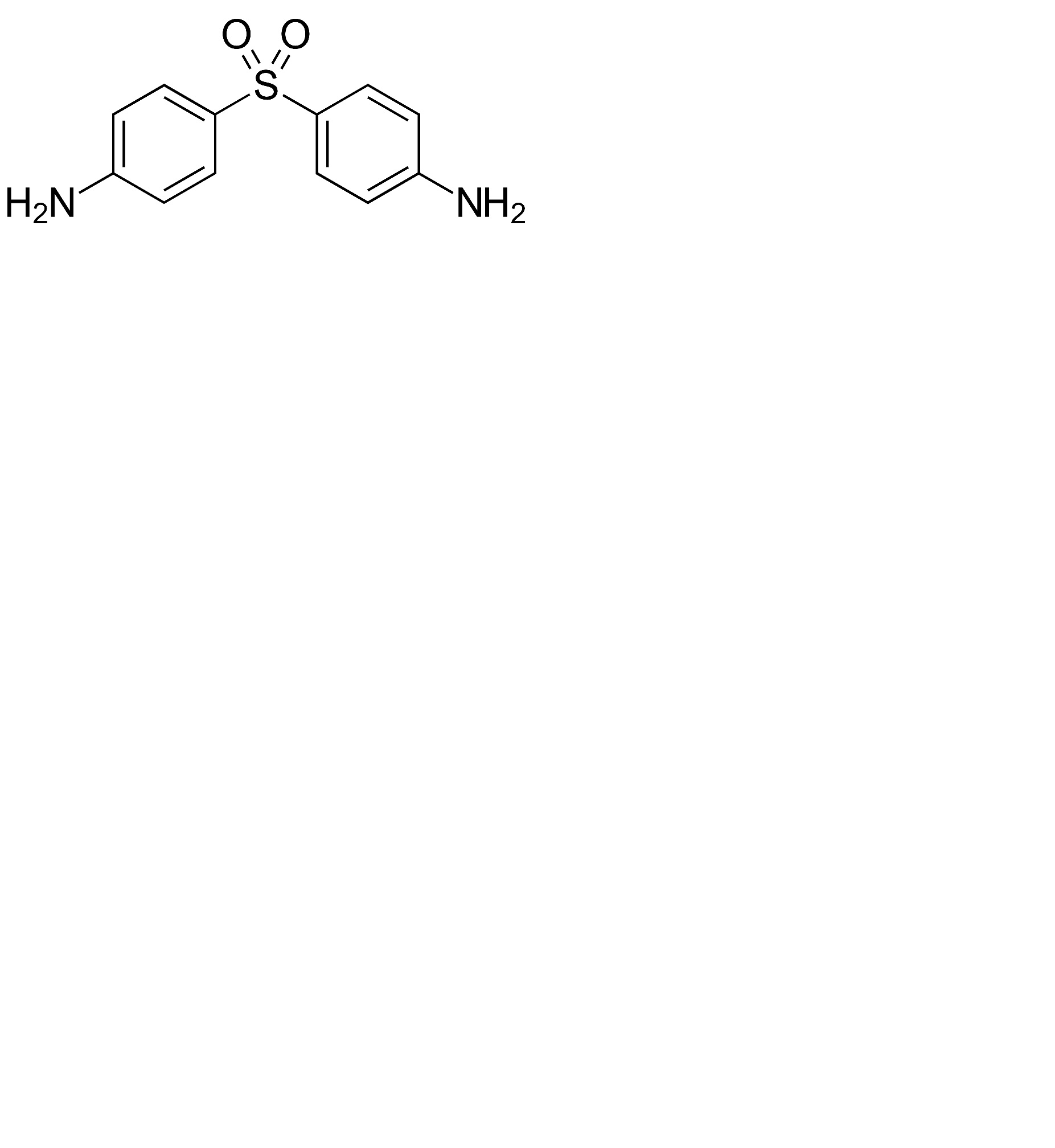
   التركيب الكيميائي  

المراهم
استقرار المستحضرات الصيدلانية   المراهم   استقرار المستحضرات الصيدلانية : Dapsone     
حاوية Origine الاضافات درجة الحرارة تخزين مدة الاستقرار مراجع
زجاجة من البلاستيك مسحوق 2000 mg
® = ?
Cleoderm® >> 40 g
15-30°C بعيدا عن الضوء
180 يوم
4879
زجاجة من البلاستيك مسحوق 4000 mg
® = ?
Cleoderm® >> 40 g
15-30°C بعيدا عن الضوء
180 يوم
4879

  Mentions Légales