最新更新 :
27/01/2026
抗菌薬   Dapsone  
軟膏薬
経口液
調剤時の安定性 混合時の安定性 安定性に影響する因子 互換性 引用文献 PDF
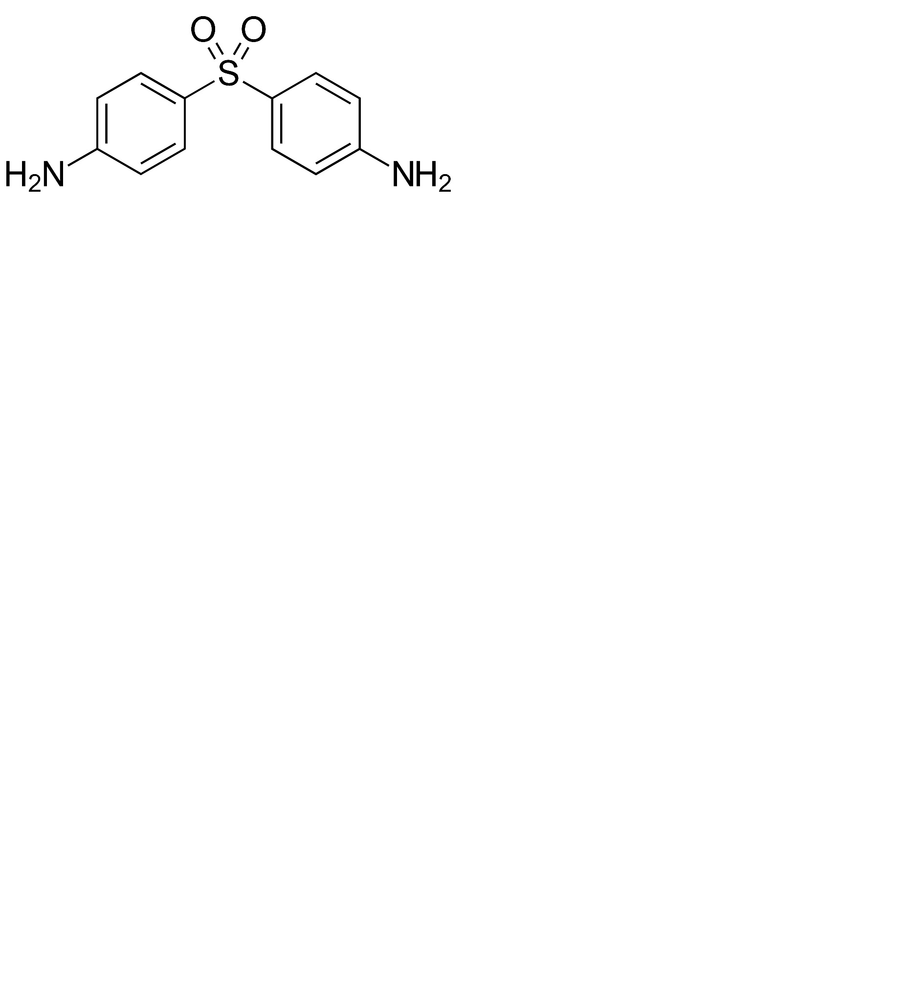
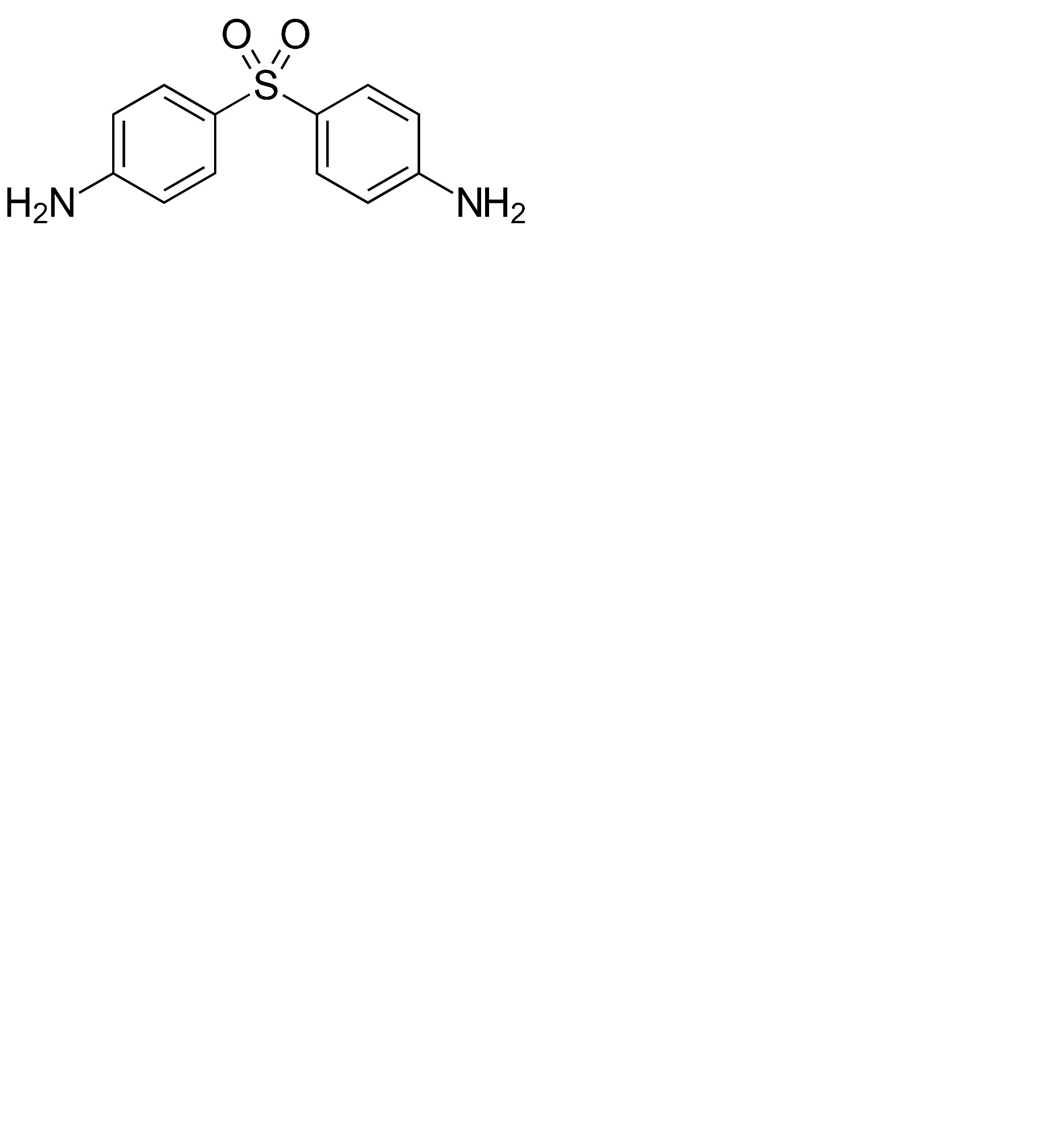
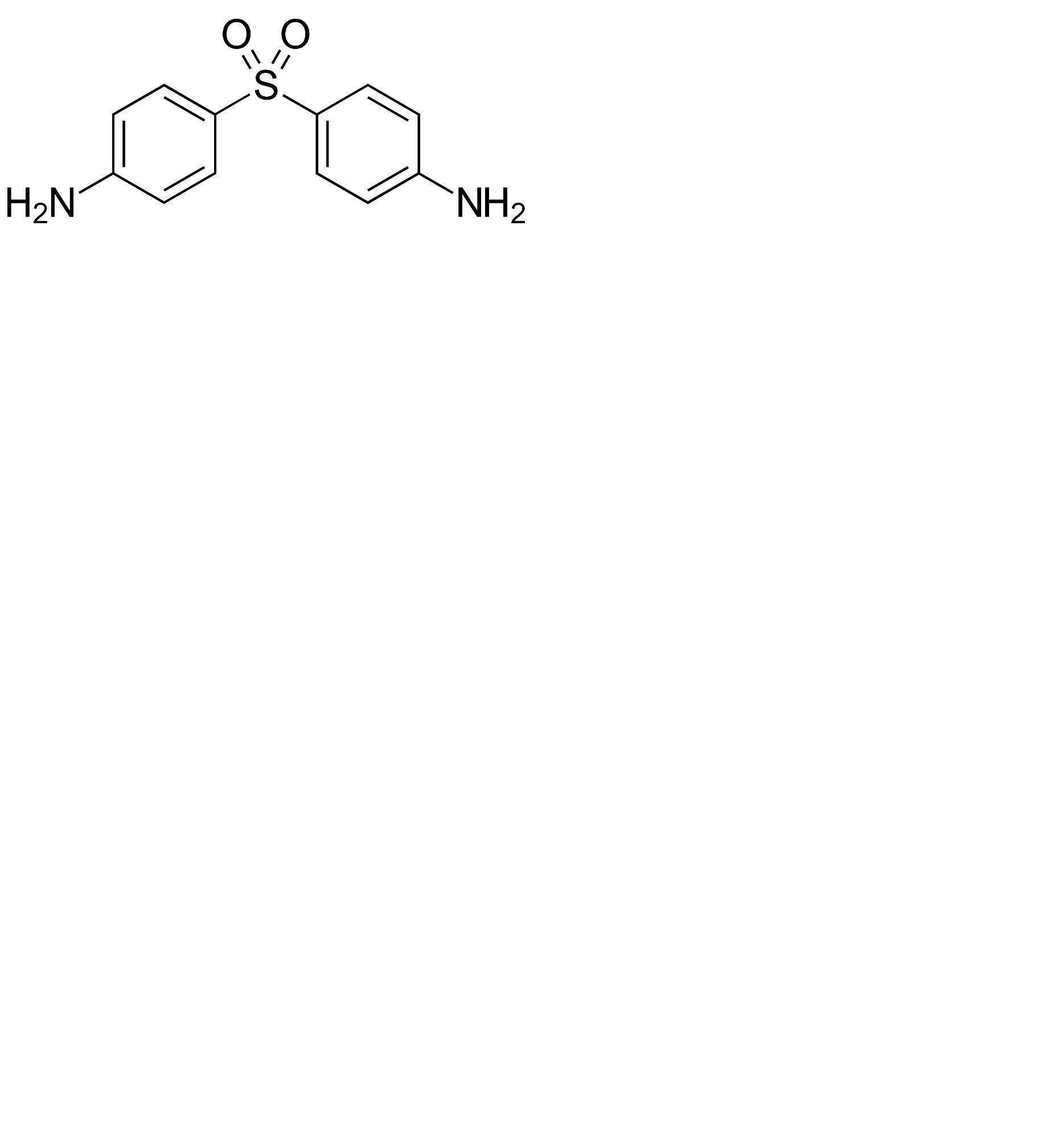
   化学構造  

軟膏薬
調剤時の安定性   軟膏薬   調剤時の安定性 : Dapsone     
容器 Origine 添加剤 温度 保管 安定期間 引用文献
プラスチックボトル 粉 2000 mg
® = ?
Cleoderm® >> 40 g
15-30°C 遮光
180 日
4879
プラスチックボトル 粉 4000 mg
® = ?
Cleoderm® >> 40 g
15-30°C 遮光
180 日
4879

  Mentions Légales