Останнє оновлення :
27/01/2026
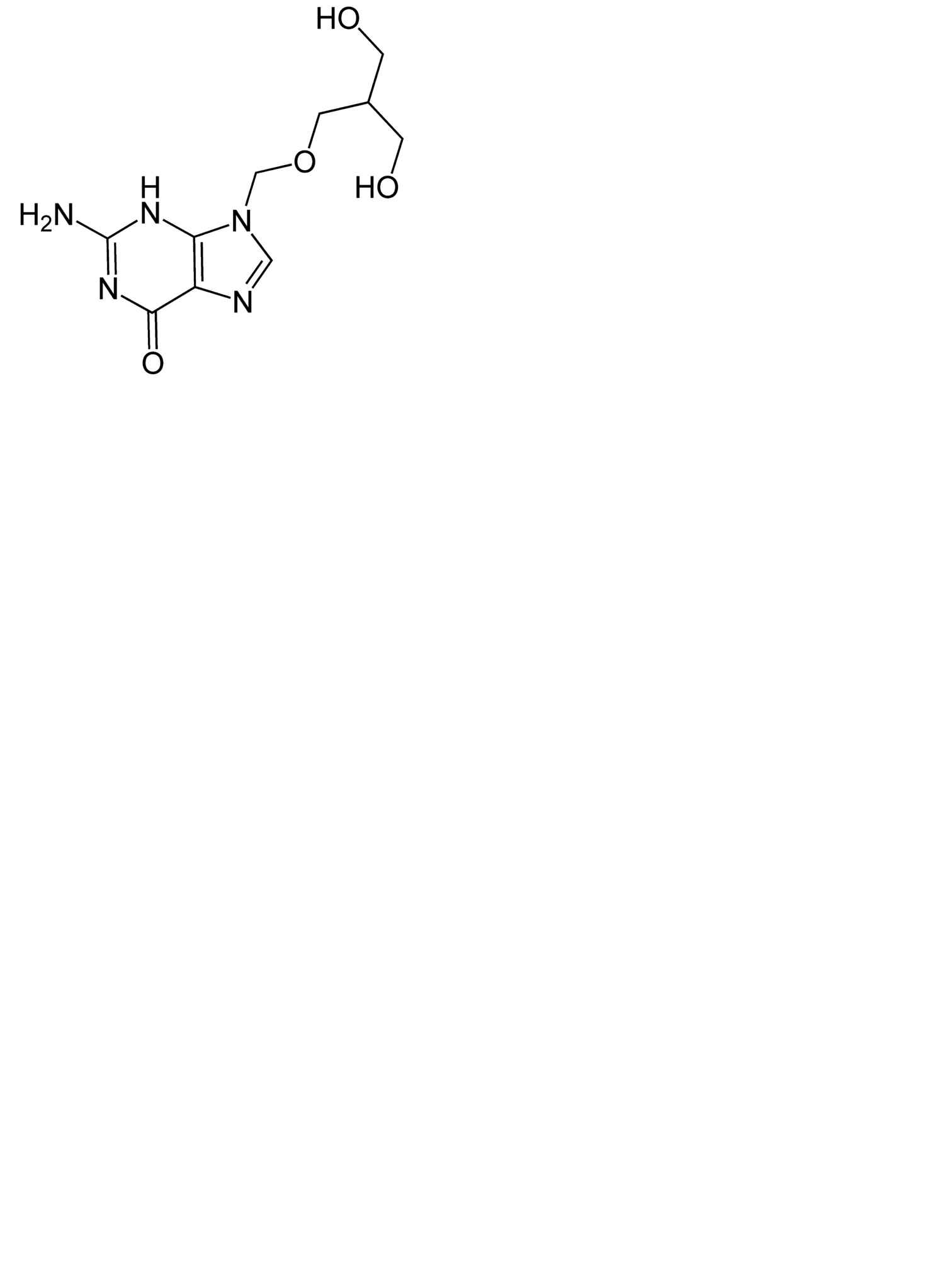
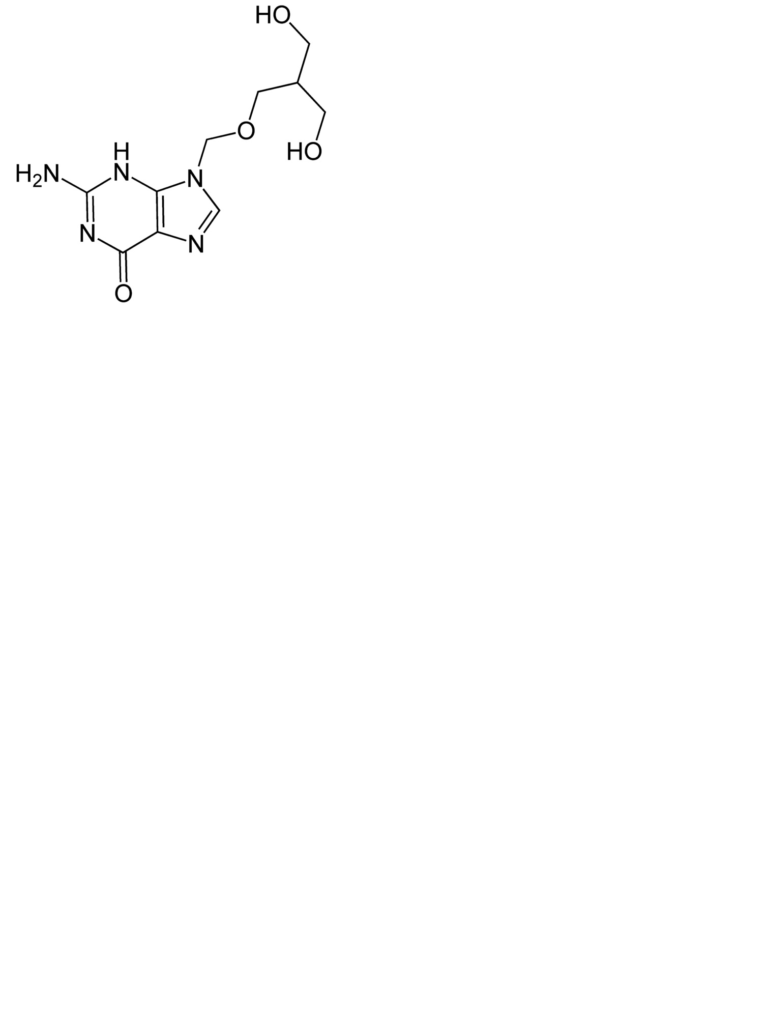
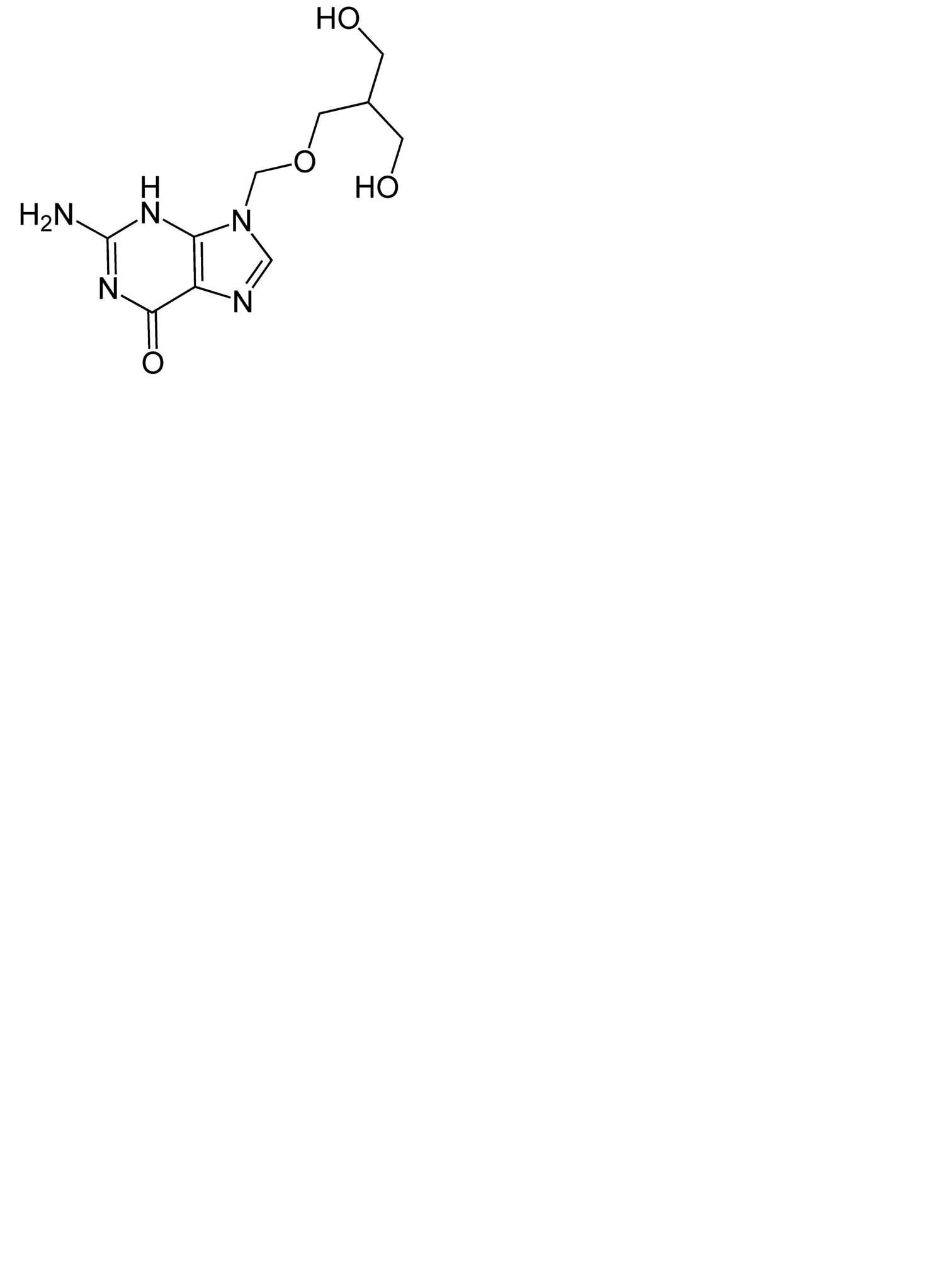
Противірусні ліки   Ganciclovir  
Очні краплі
Стабільність фармацевтичних препаратів Стійкість сумішей Фактори, що впливають на стабільність Сумісність Список літератури pdf
   Хімічна структура  

Очні краплі
Стійкість сумішей   Очні краплі   Стійкість сумішей : Ganciclovir     
7 / 5 000 Résultats de traduction Немає даних

  Mentions Légales