Ultimele actualizari :
27/01/2026
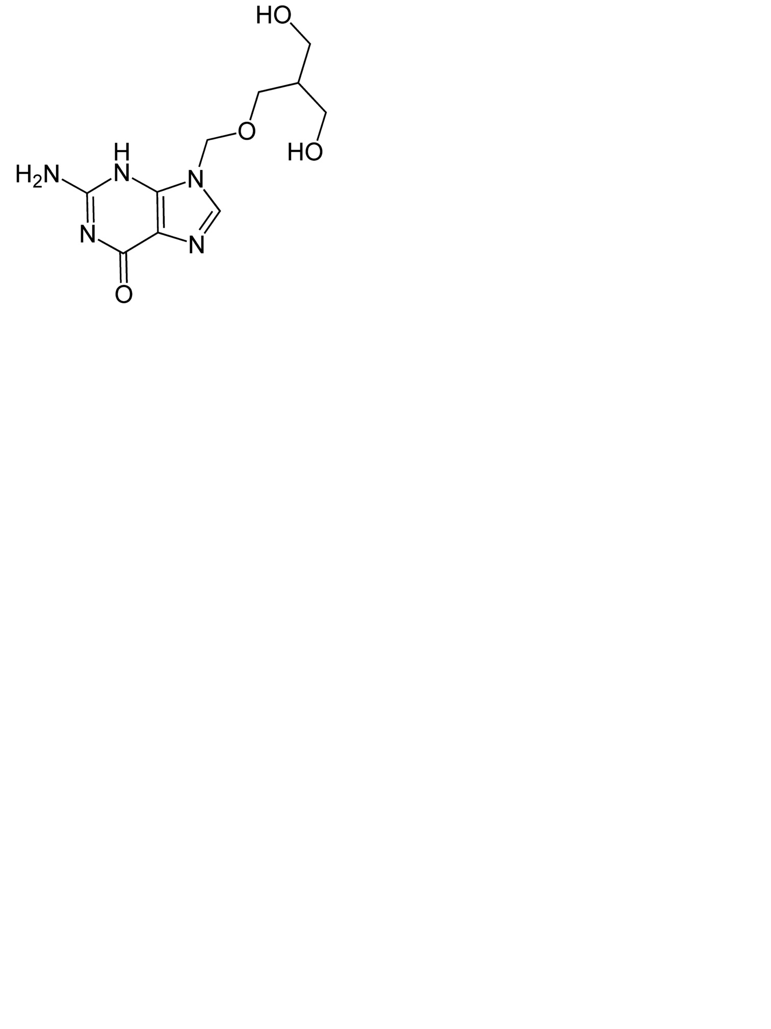
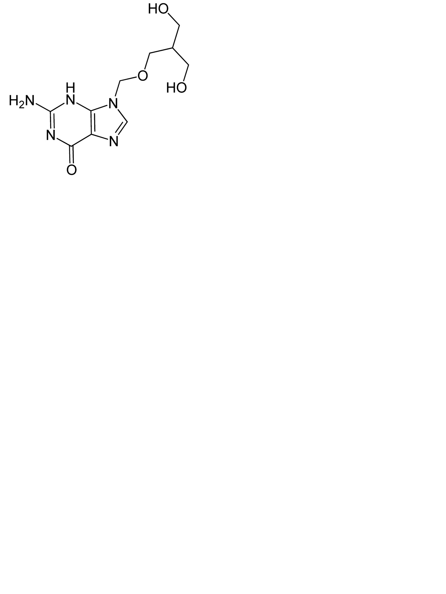
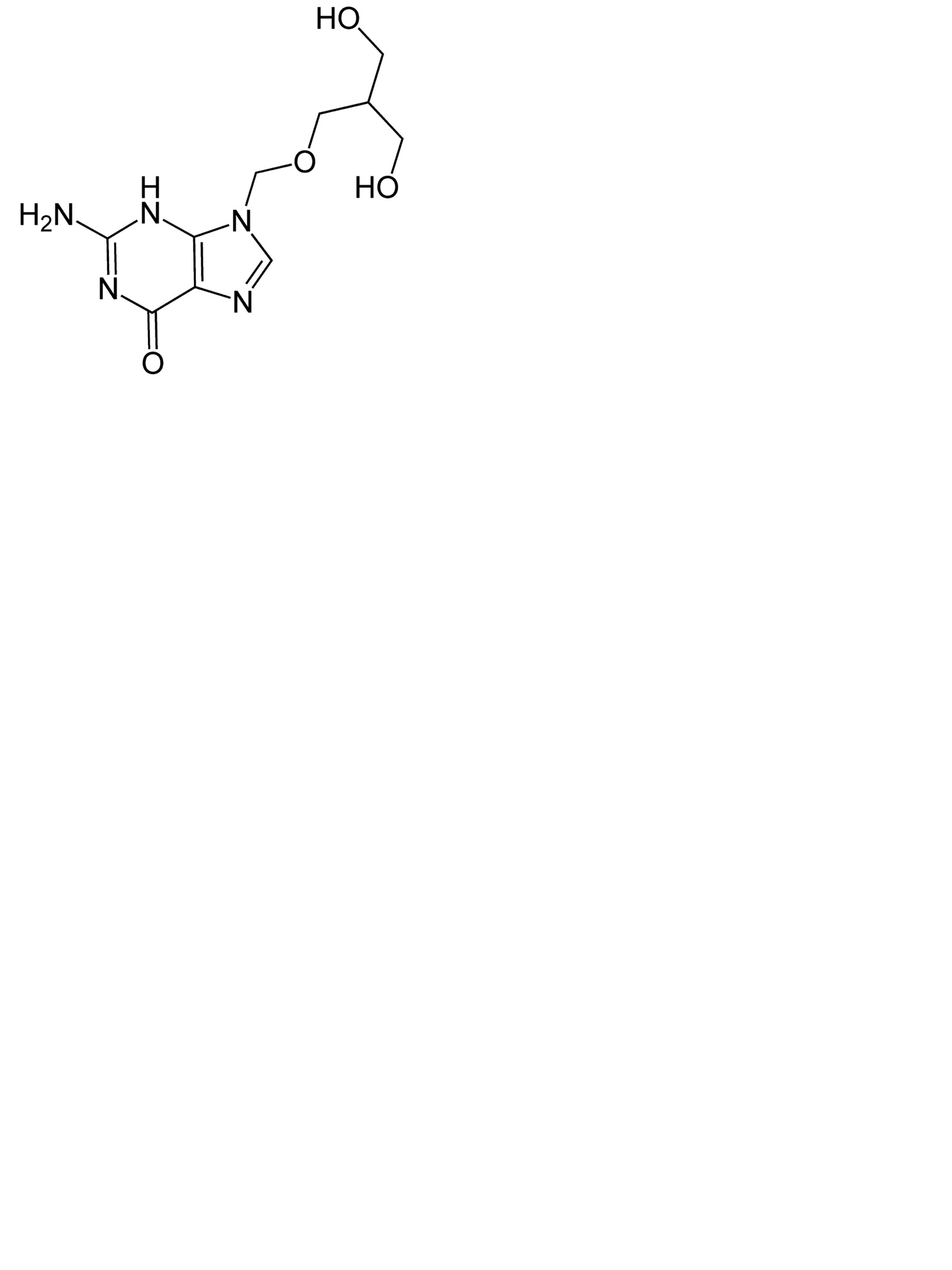
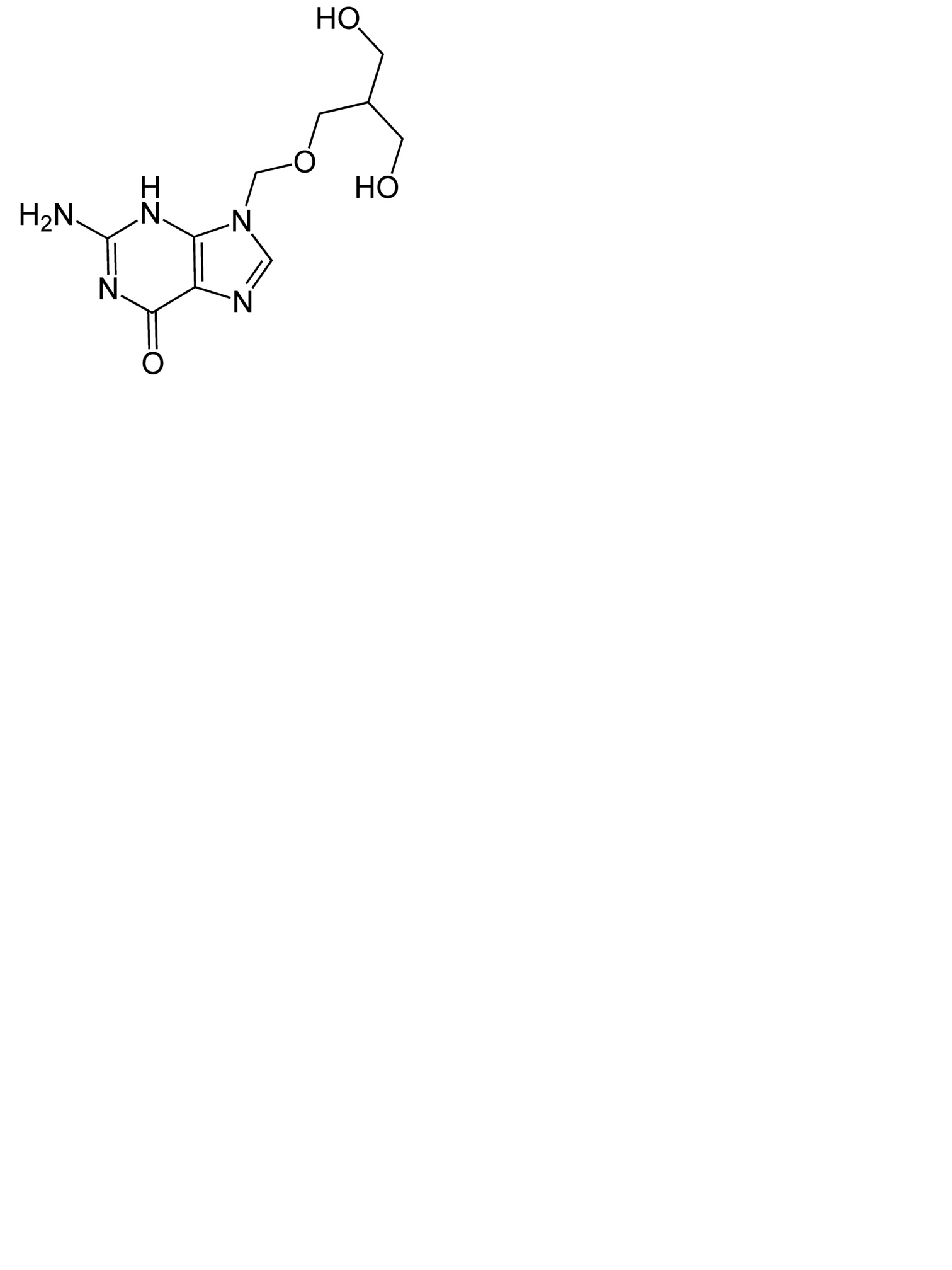
Antiviral   Ganciclovir  
colir
Stabilitatea preparatelor farmaceutice Stabilitatea in amestec Factorii care influenteaza stabilitatea Compatibilitate Bibliografie pdf
   Formula chimica  

colir
Stabilitatea in amestec   colir   Stabilitatea in amestec : Ganciclovir     
Absenta de date

  Mentions Légales