Laatste update :
27/01/2026
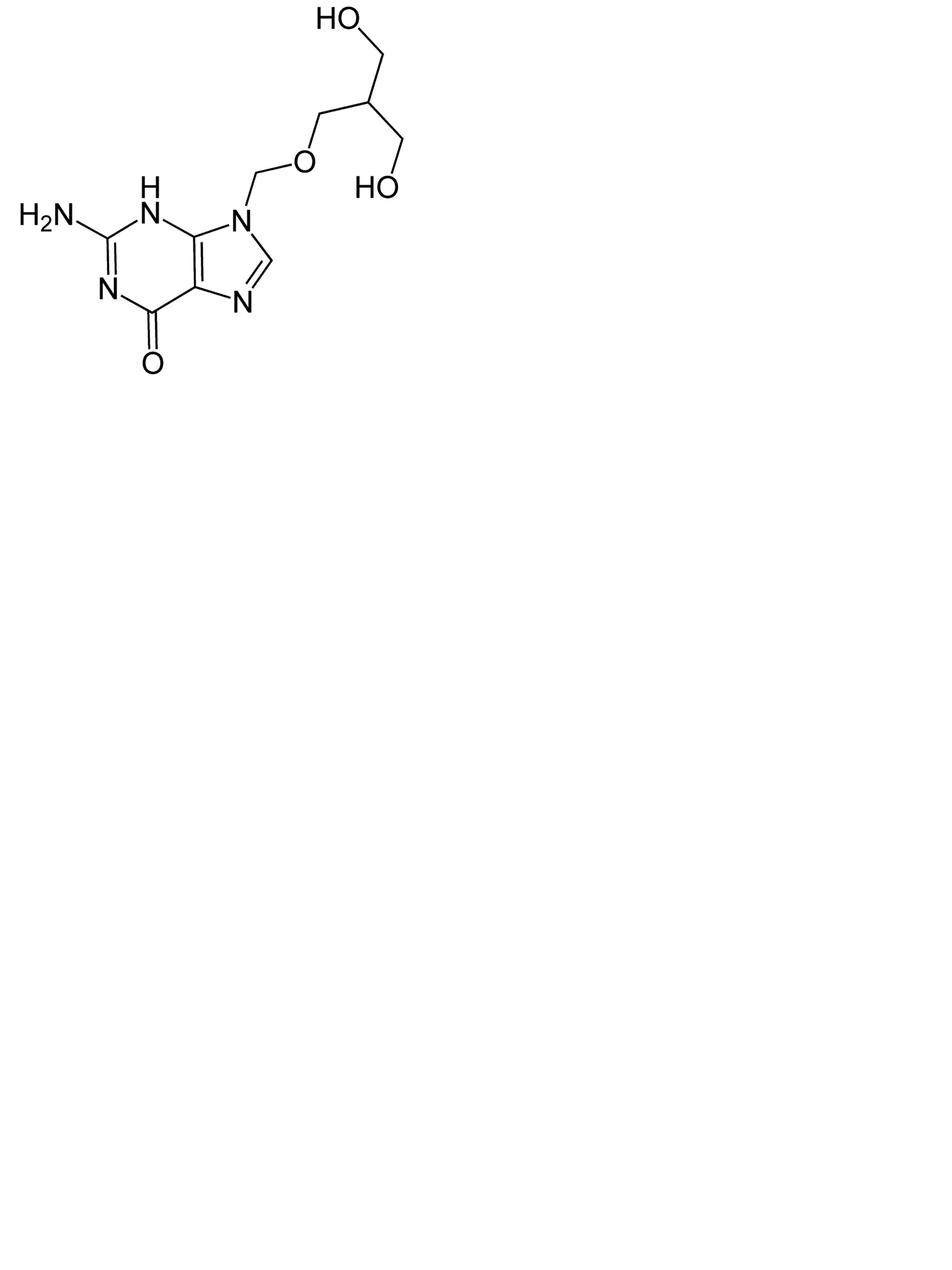
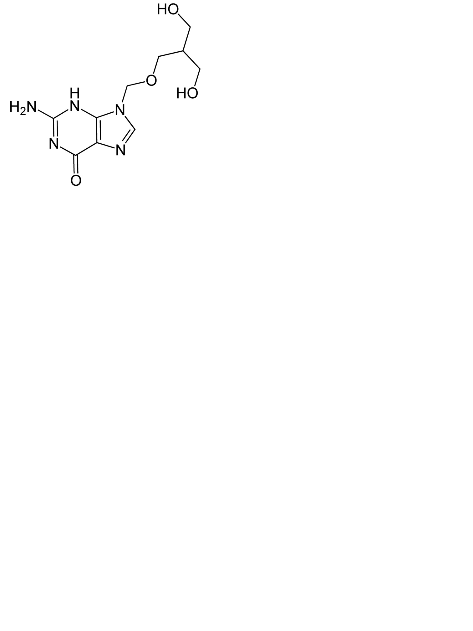
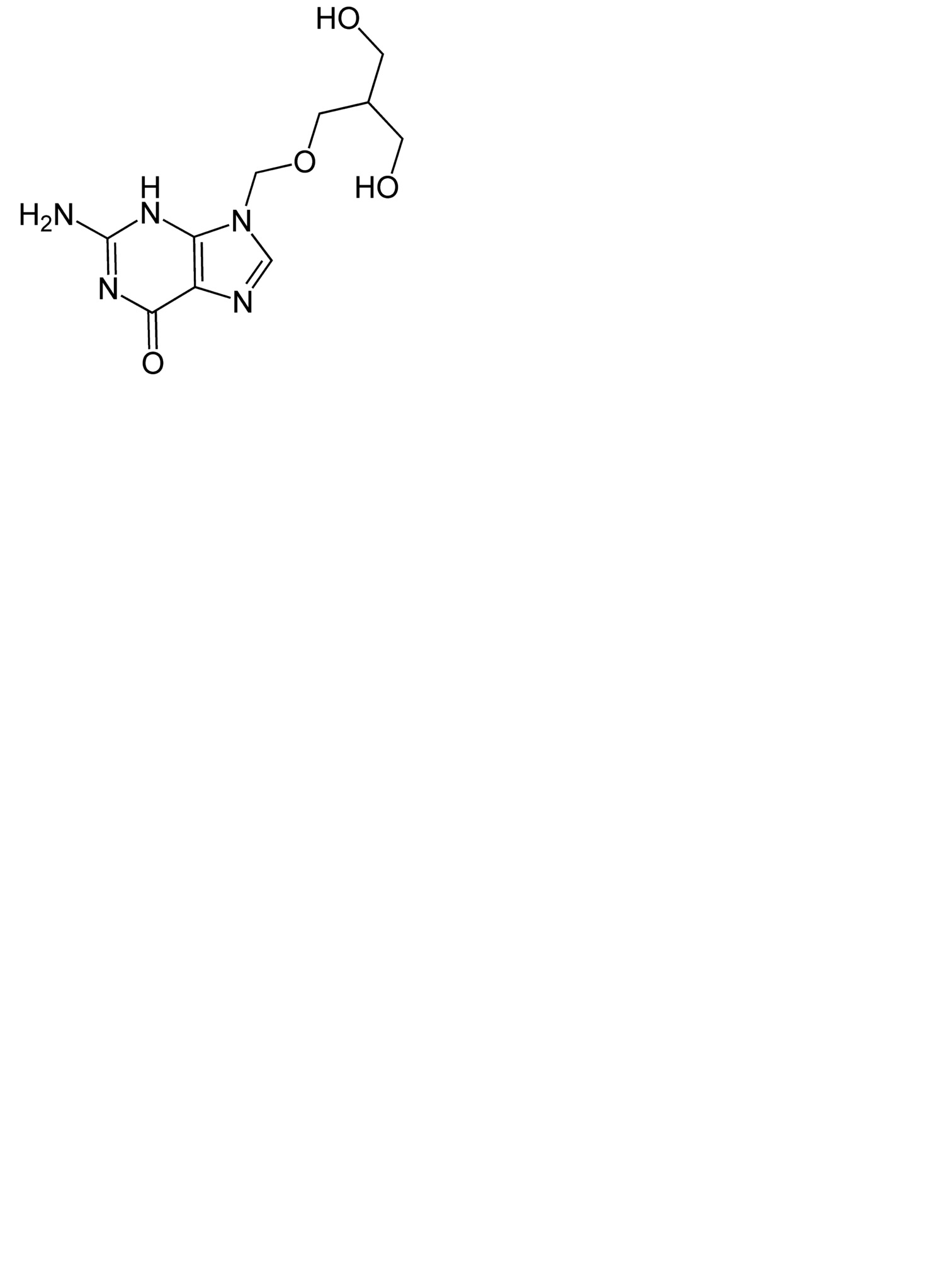
Antiviraal middel   Ganciclovir  
Oogwater
Stabiliteit van farmaceutische preparaten Stabiliteit in mengsels Factoren die de stabiliteit beïnvloeden Verenigbaarheden Literatuur pdf
   Molecuulstructuur  

Oogwater
Stabiliteit in mengsels   Oogwater   Stabiliteit in mengsels : Ganciclovir     
geen gegevens

  Mentions Légales