Siste oppdatering :
27/01/2026
Antiviralt middel   Ganciclovir  
Øyedråper
Stabilitet av farmasøytiske preparater Stabilitet i blandinger Faktorer som påvirker stabiliteten Kompatibilitet Referanser pdf
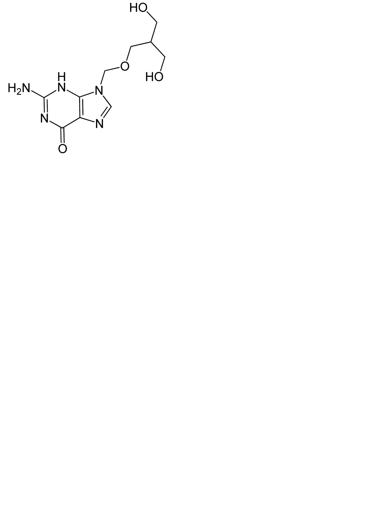
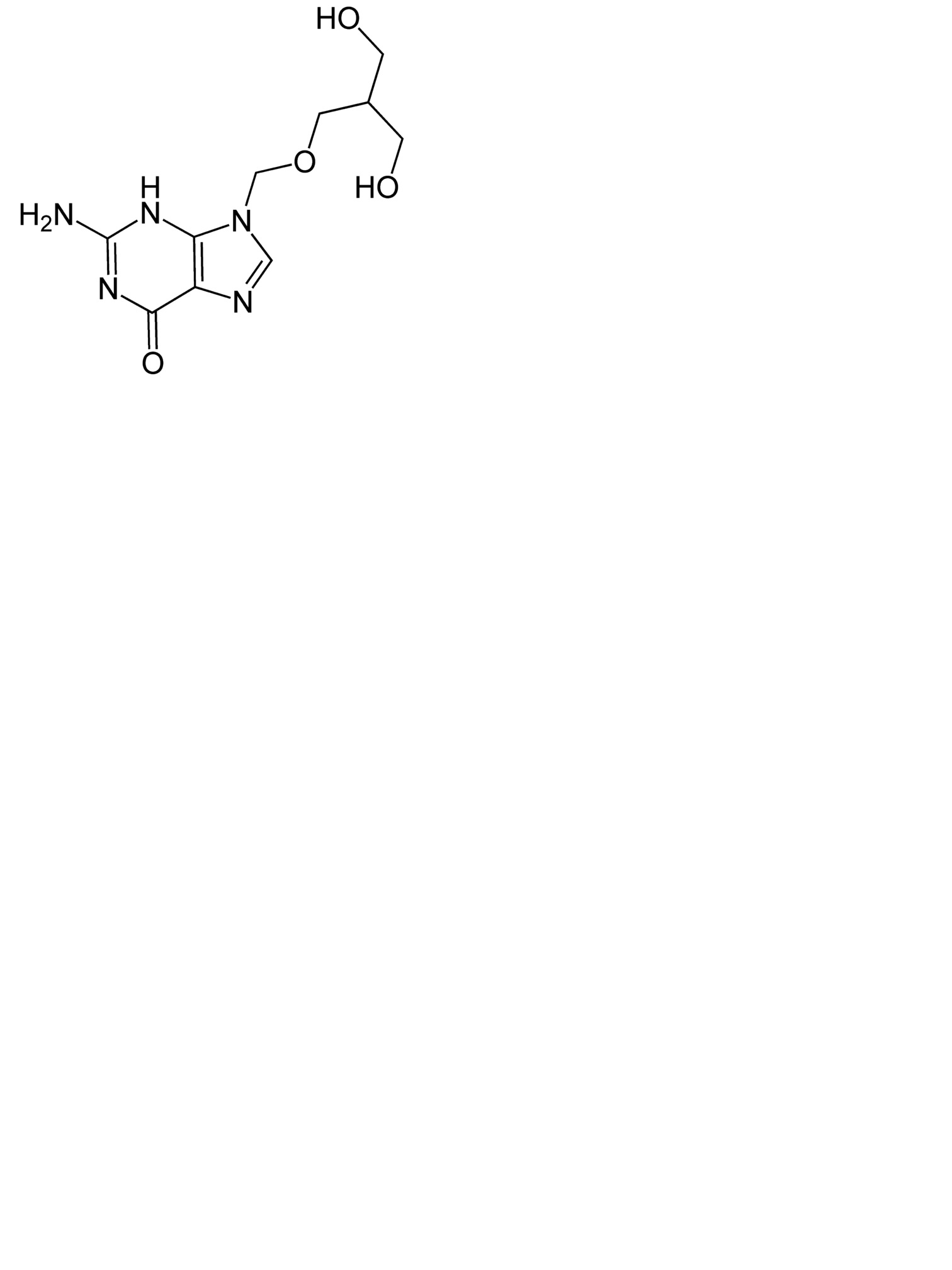
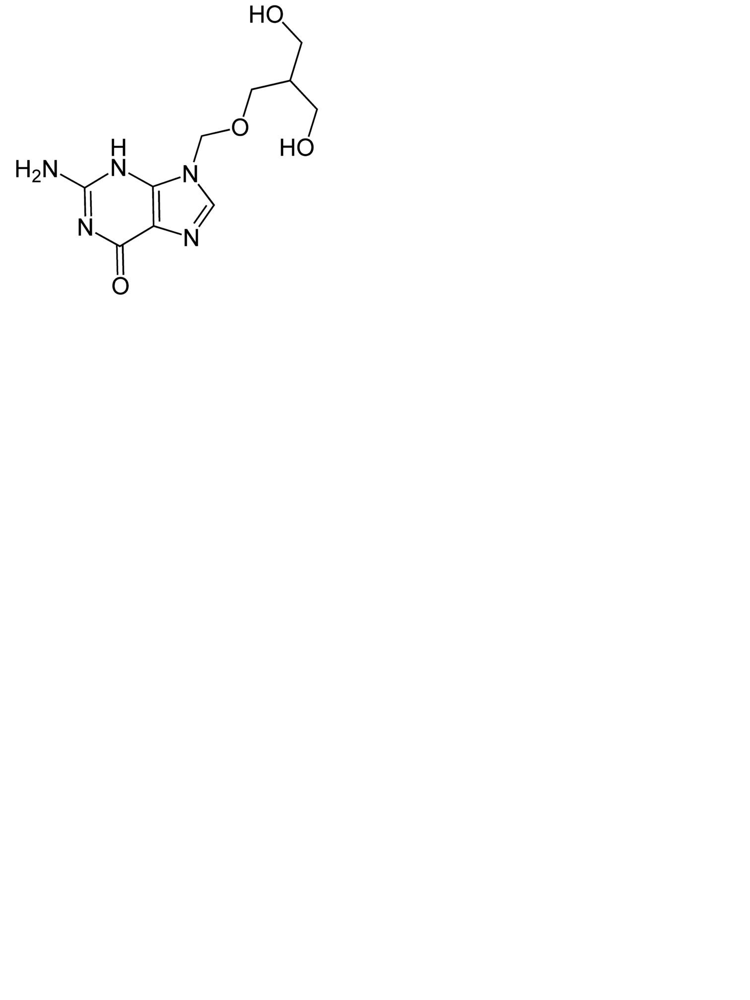
   Kjemisk struktur  

Øyedråper
Stabilitet i blandinger   Øyedråper   Stabilitet i blandinger : Ganciclovir     
Ingen opplysninger

  Mentions Légales