zadnja posodobitev :
27/01/2026
Protivirusno zdravilo   Ganciclovir  
Kapljice za oči
Stabilnost farmacevtskih preparatov Stabilnost mešanice Faktorji, ki vplivajo na stabilnost Kompatibilnost Viri pdf
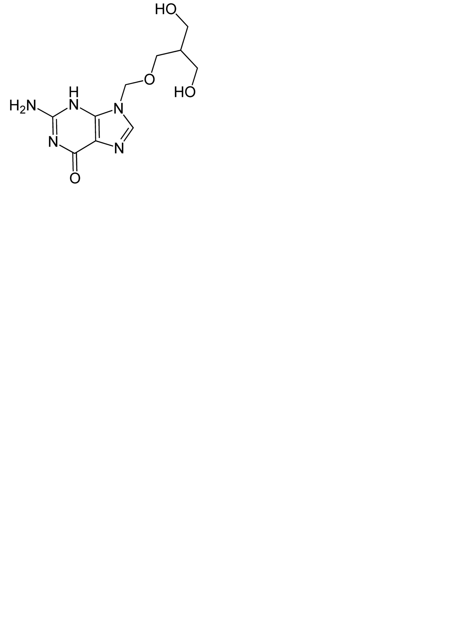
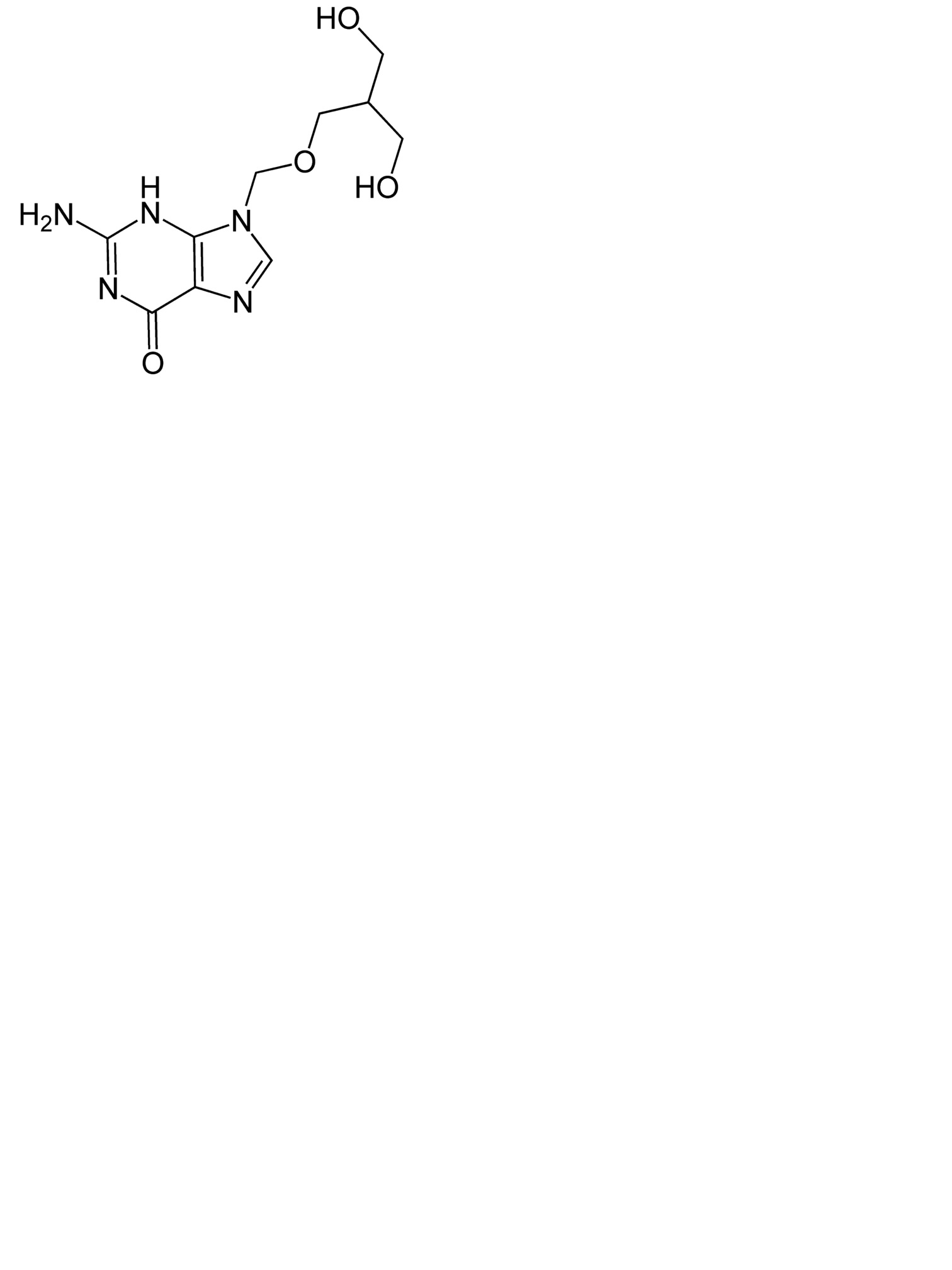
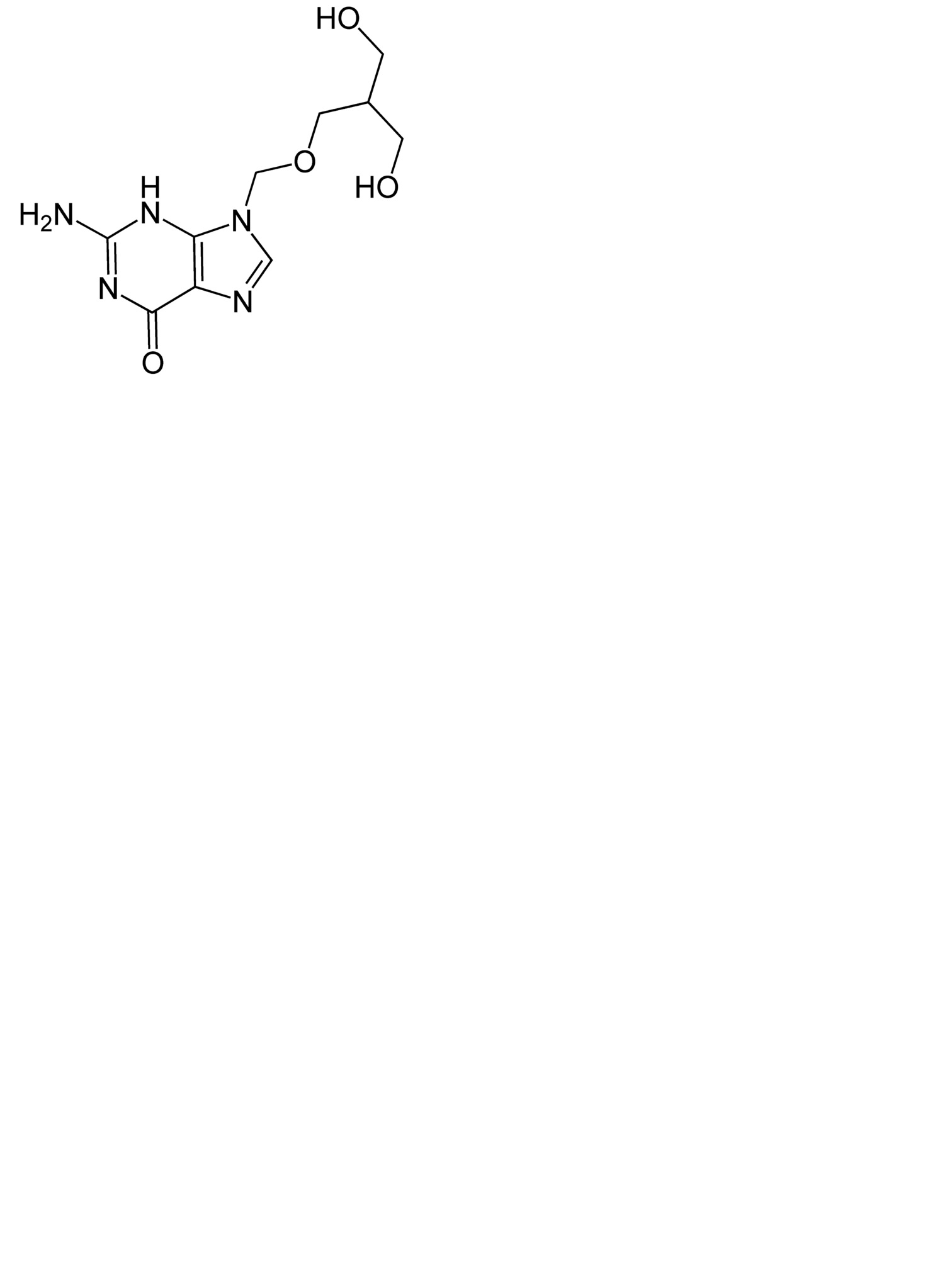
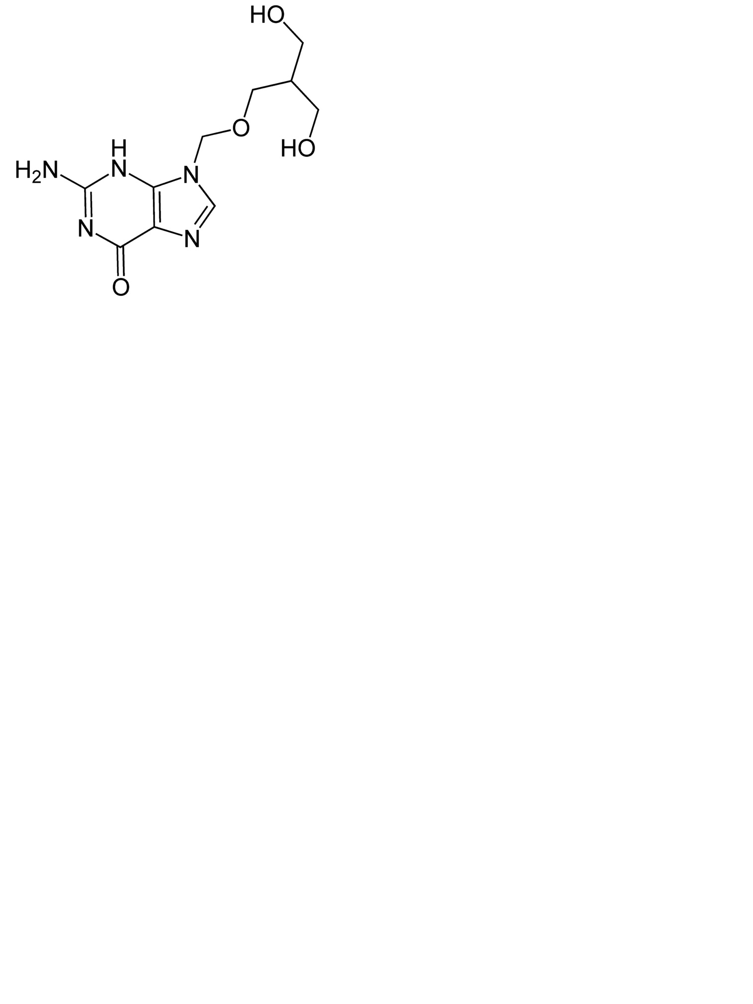
   Kemična formula  

Kapljice za oči
Stabilnost mešanice   Kapljice za oči   Stabilnost mešanice : Ganciclovir     
ni podatka

  Mentions Légales