آخر تحديث :
27/01/2026
المضادة للفيروسات   Ganciclovir  
قطرات العين
استقرار المستحضرات الصيدلانية استقرار مخاليط العوامل التي تؤثر على الاستقرار التوافق مراجع pdf
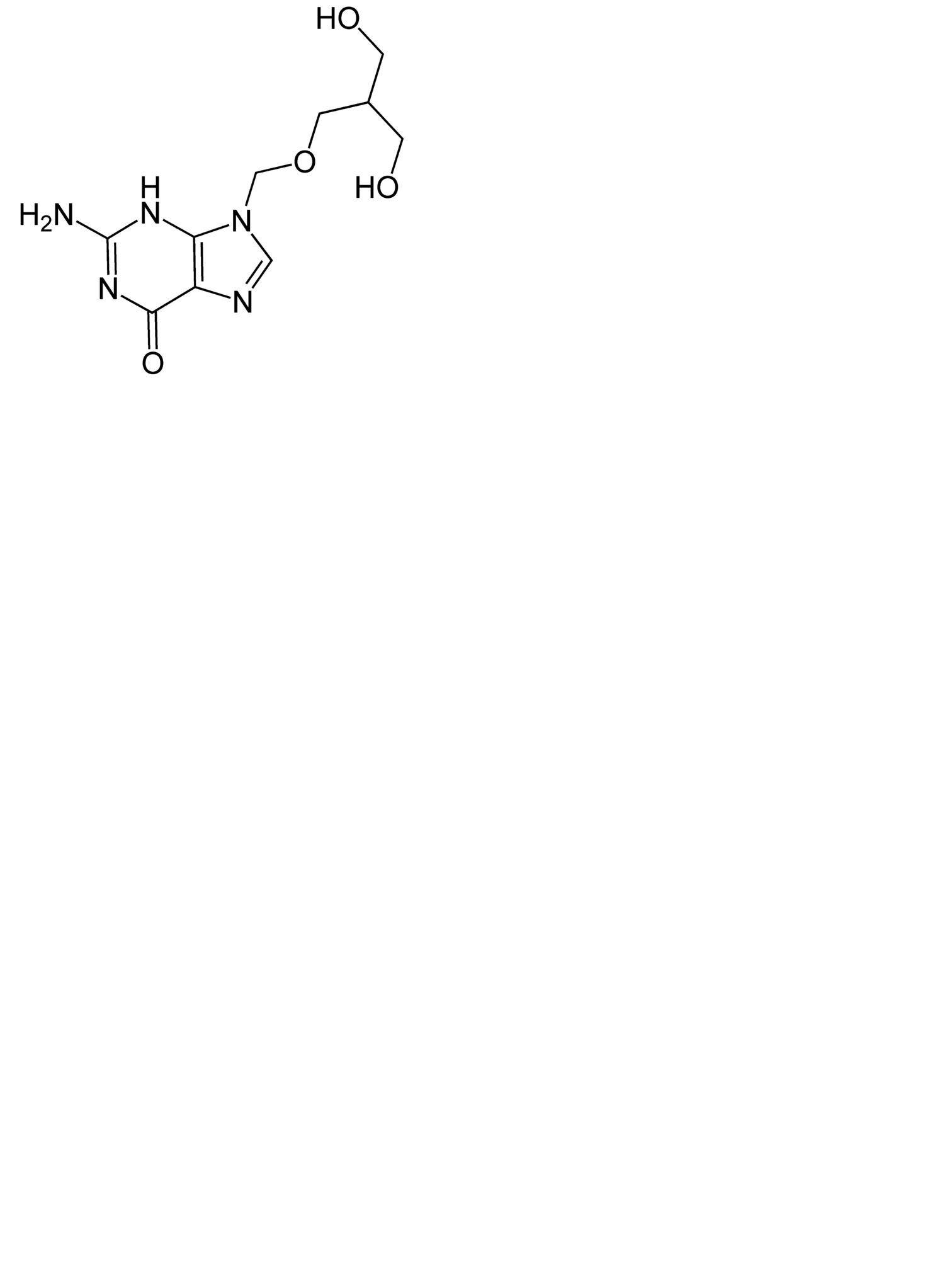
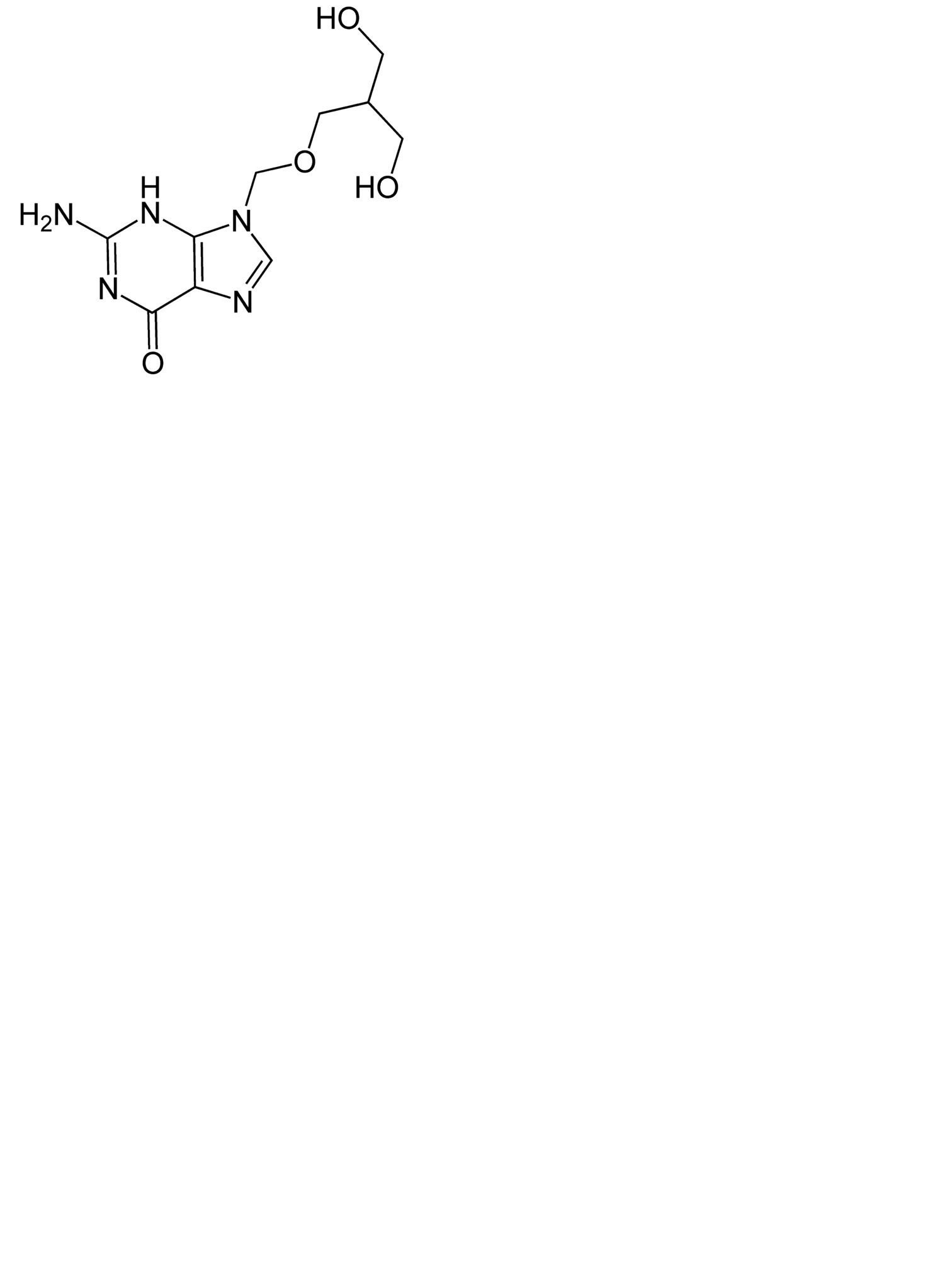
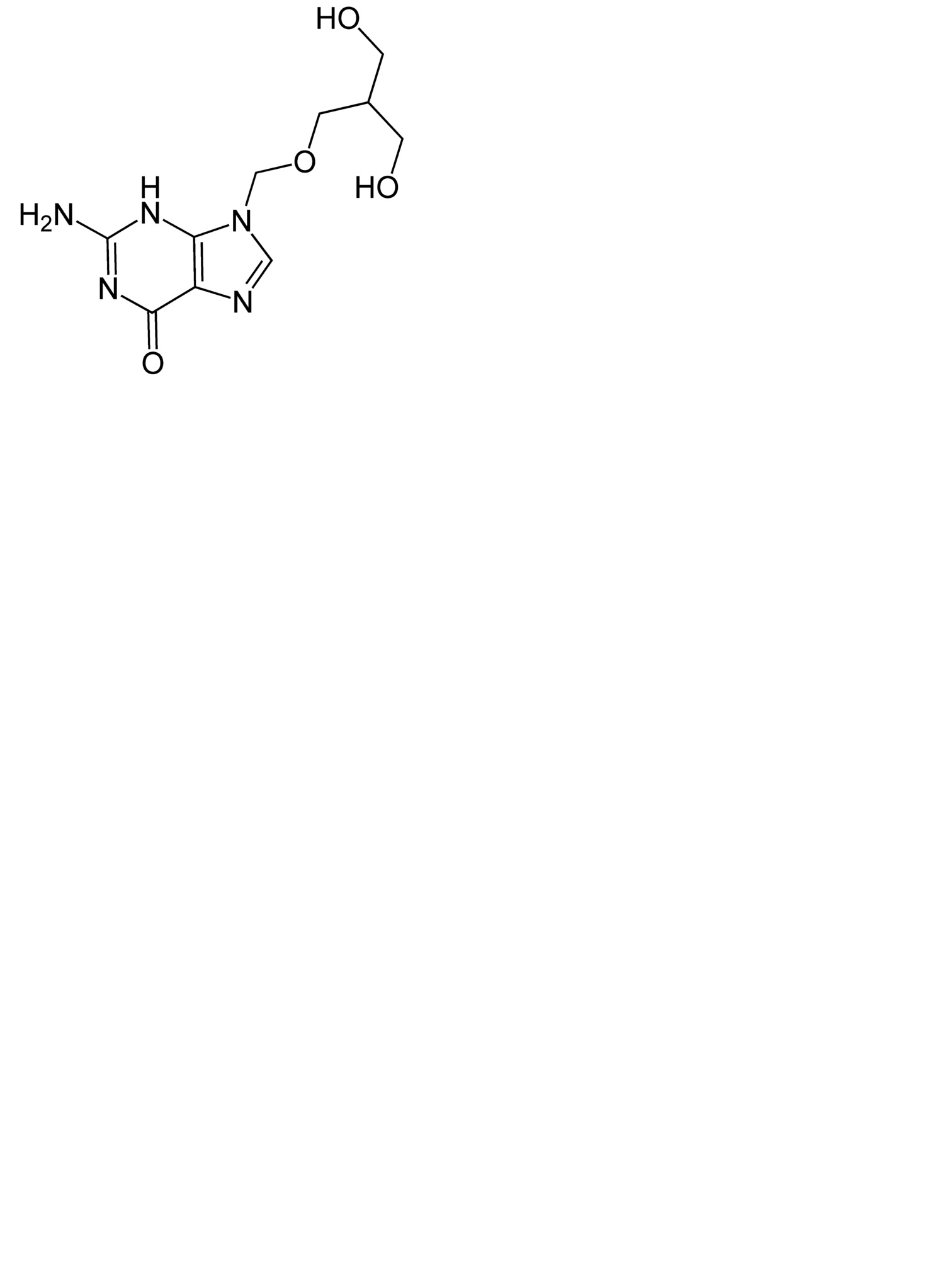
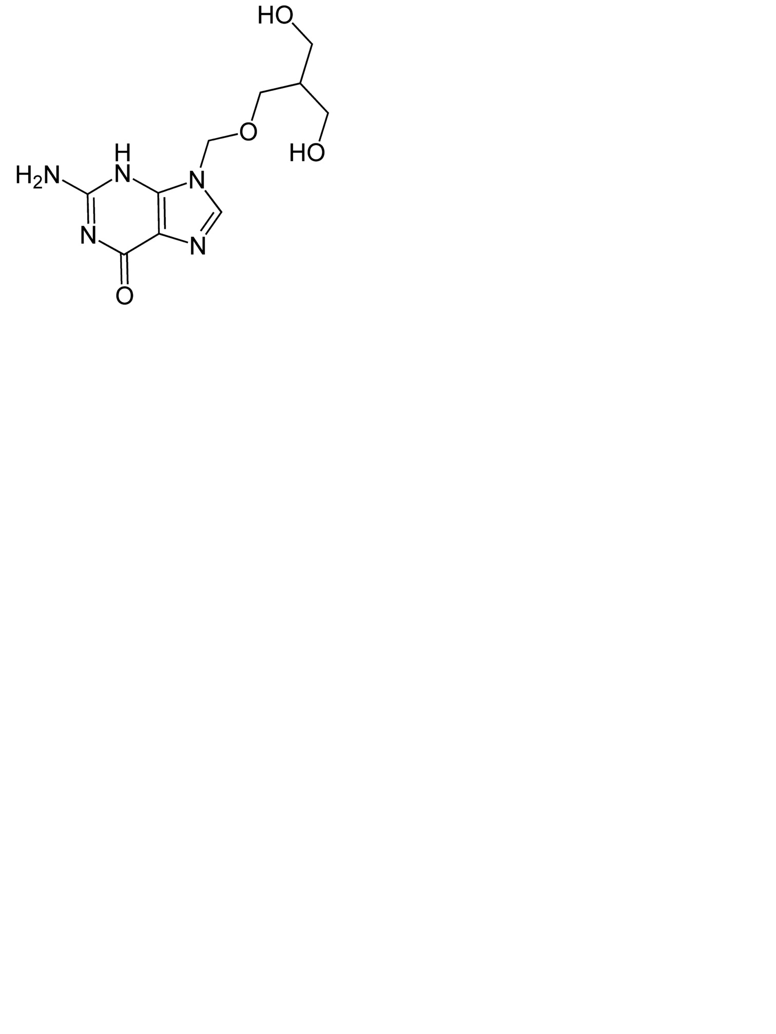
   التركيب الكيميائي  

قطرات العين
استقرار مخاليط   قطرات العين   استقرار مخاليط : Ganciclovir     
لا توجد بيانات

  Mentions Légales