Letztes “update” :
27/01/2026
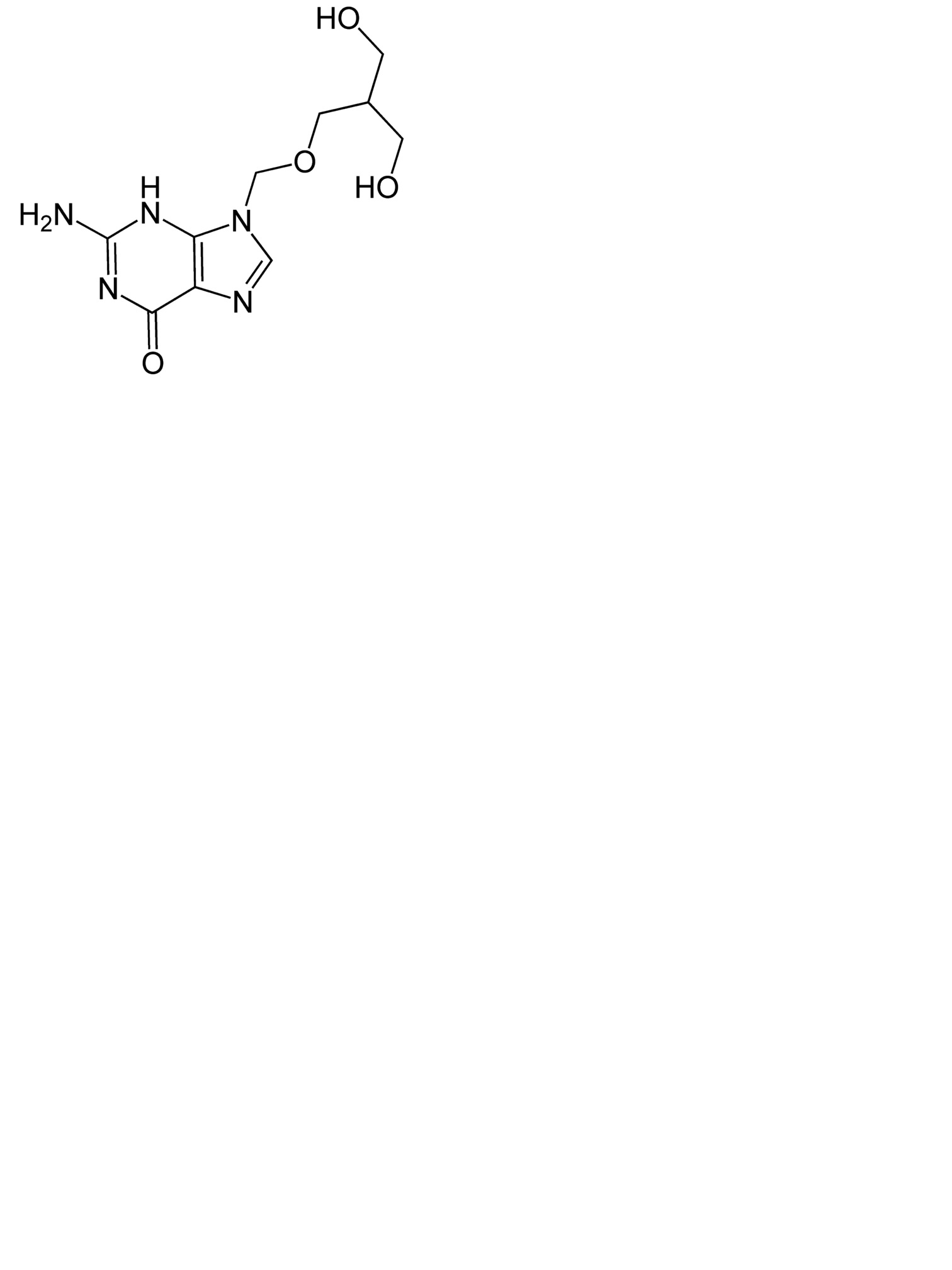
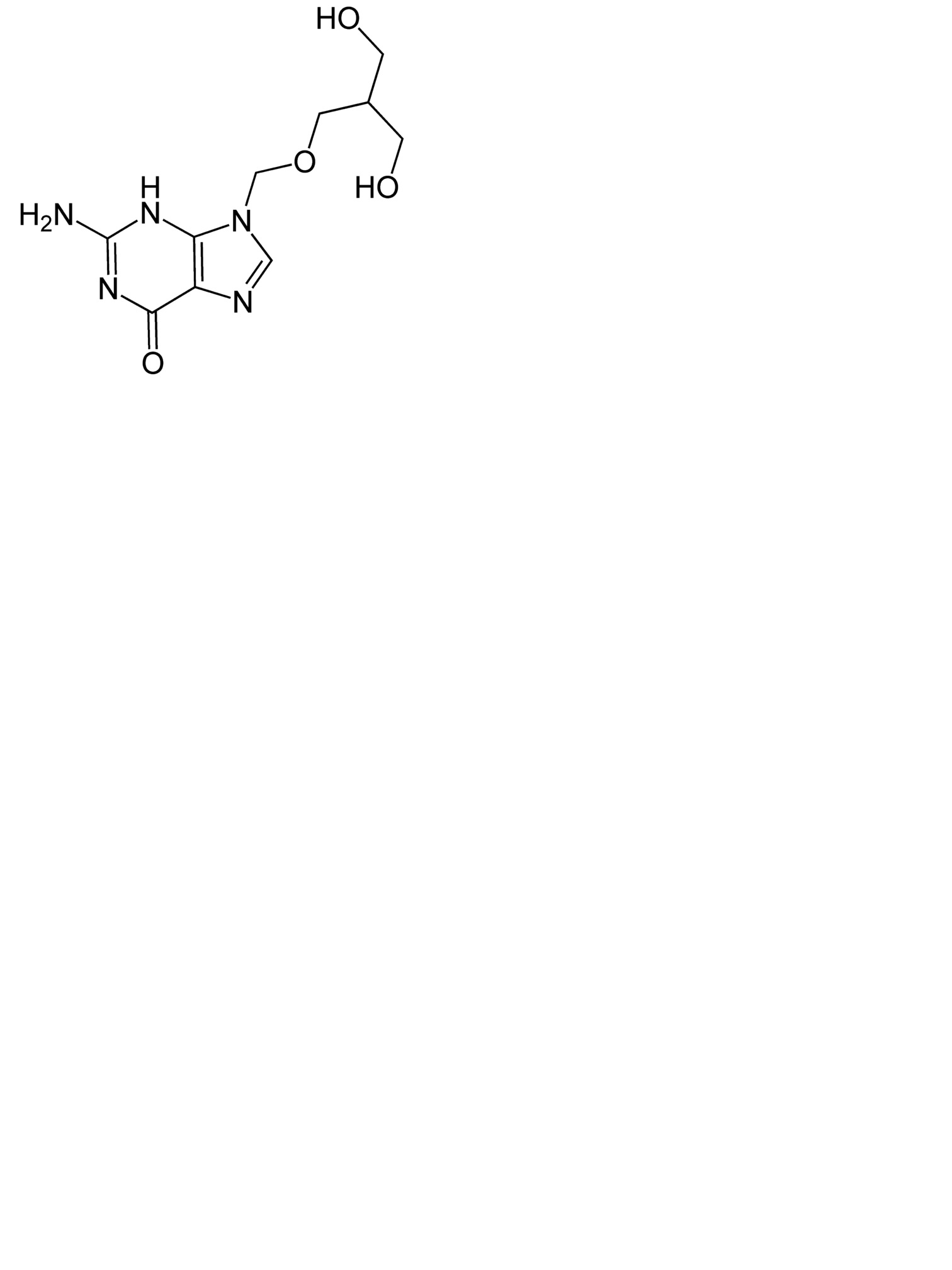
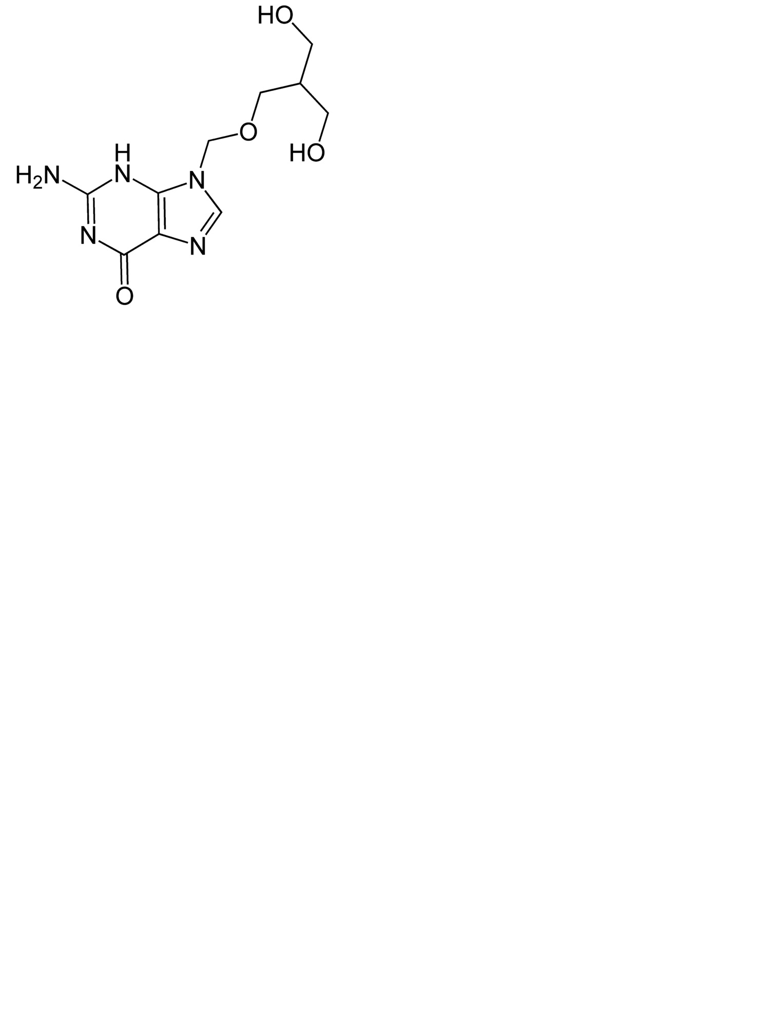
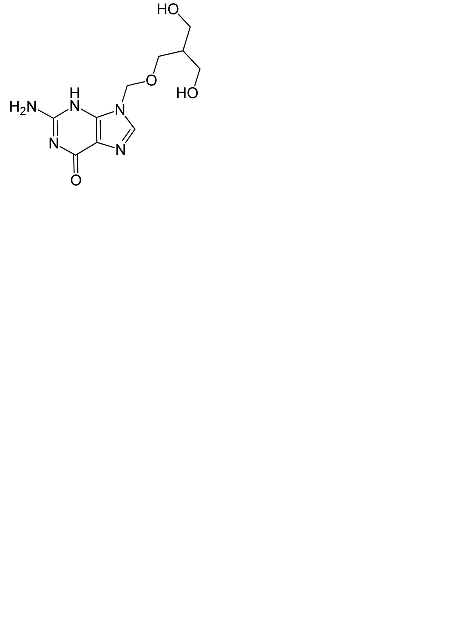
Antiviral   Ganciclovir  
Augentropfen
Stabilität von pharmazeutischen Präparaten Gemengestabilität Stabilitätbeeinflussende Faktoren Kompatibilitäten Literaturverzeichnis pdf
   Chemische Struktur  

Augentropfen
Gemengestabilität   Augentropfen   Gemengestabilität : Ganciclovir     
Keine Daten

  Mentions Légales