Ultimo aggiornamento :
27/01/2026
Antivirale   Ganciclovir  
Collirio
Stabilità dei preparati farmaceutici Stabilità in miscela Fattori che influenzano la stabilità Compatibilità Bibliografia pdf
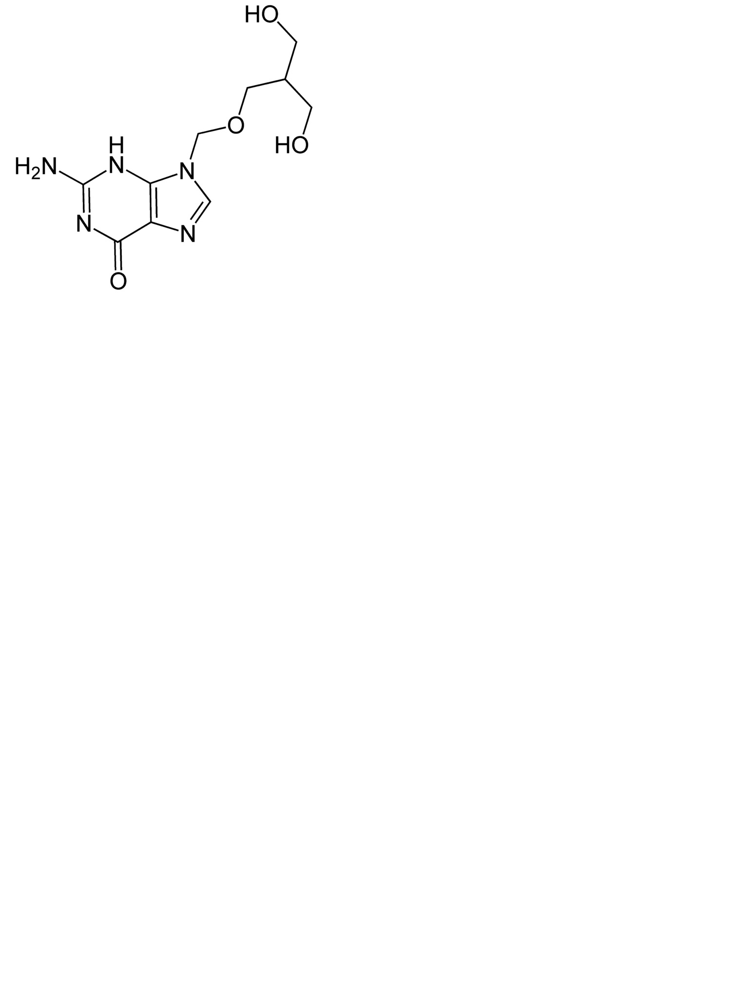
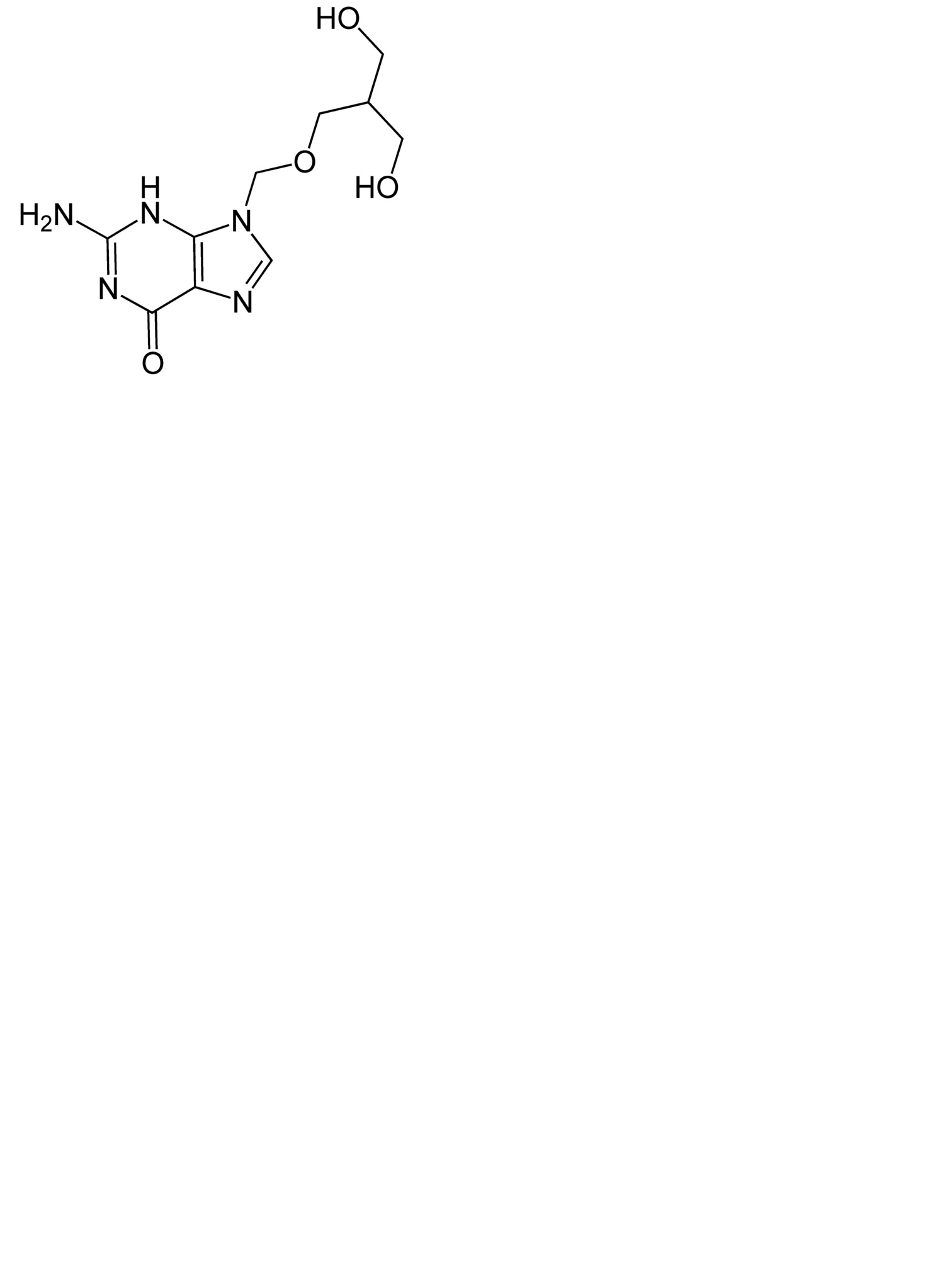
   Struttura chimica  

Collirio
Stabilità in miscela   Collirio   Stabilità in miscela : Ganciclovir     
Assenza di dati

  Mentions Légales