Poslední aktualizace :
27/01/2026
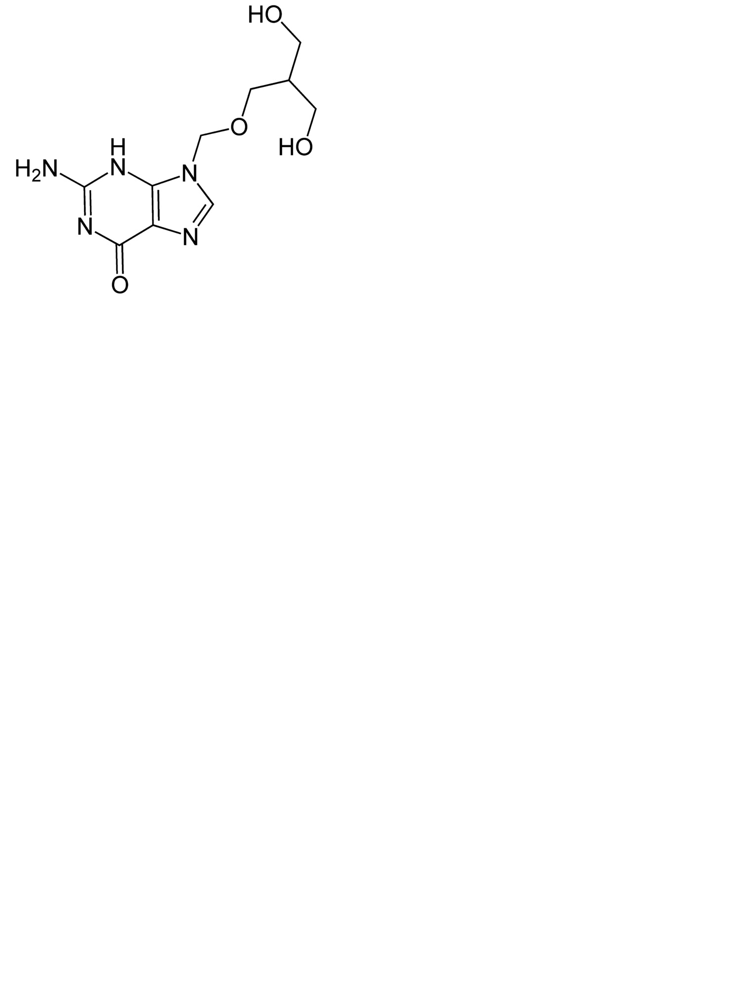
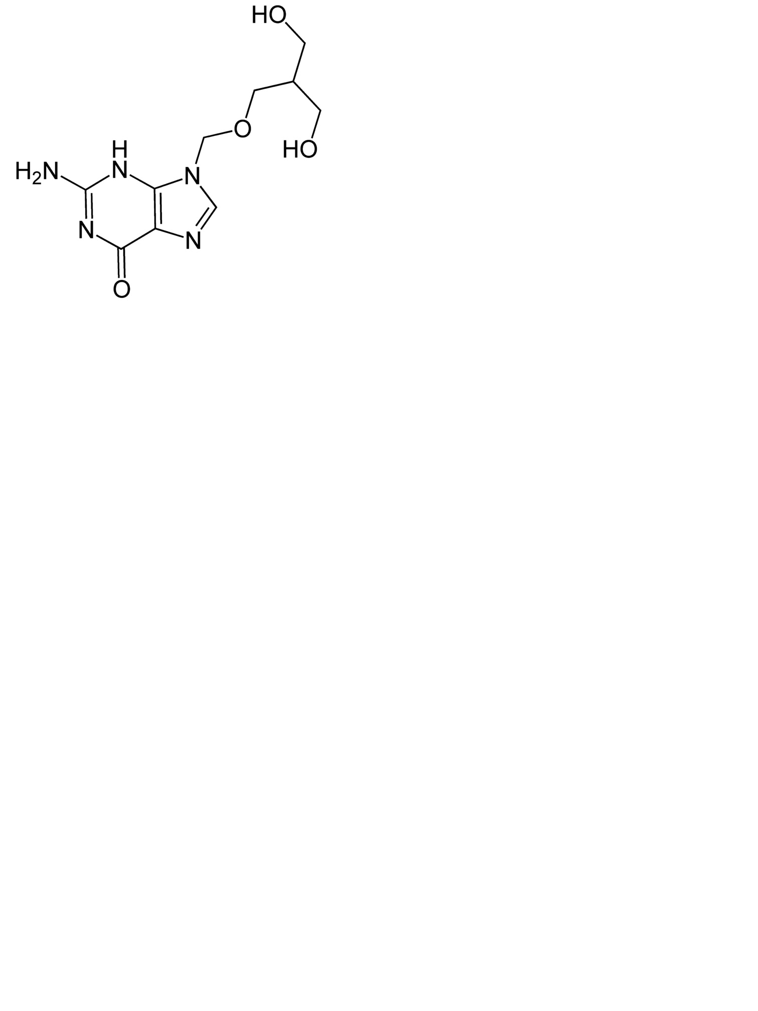
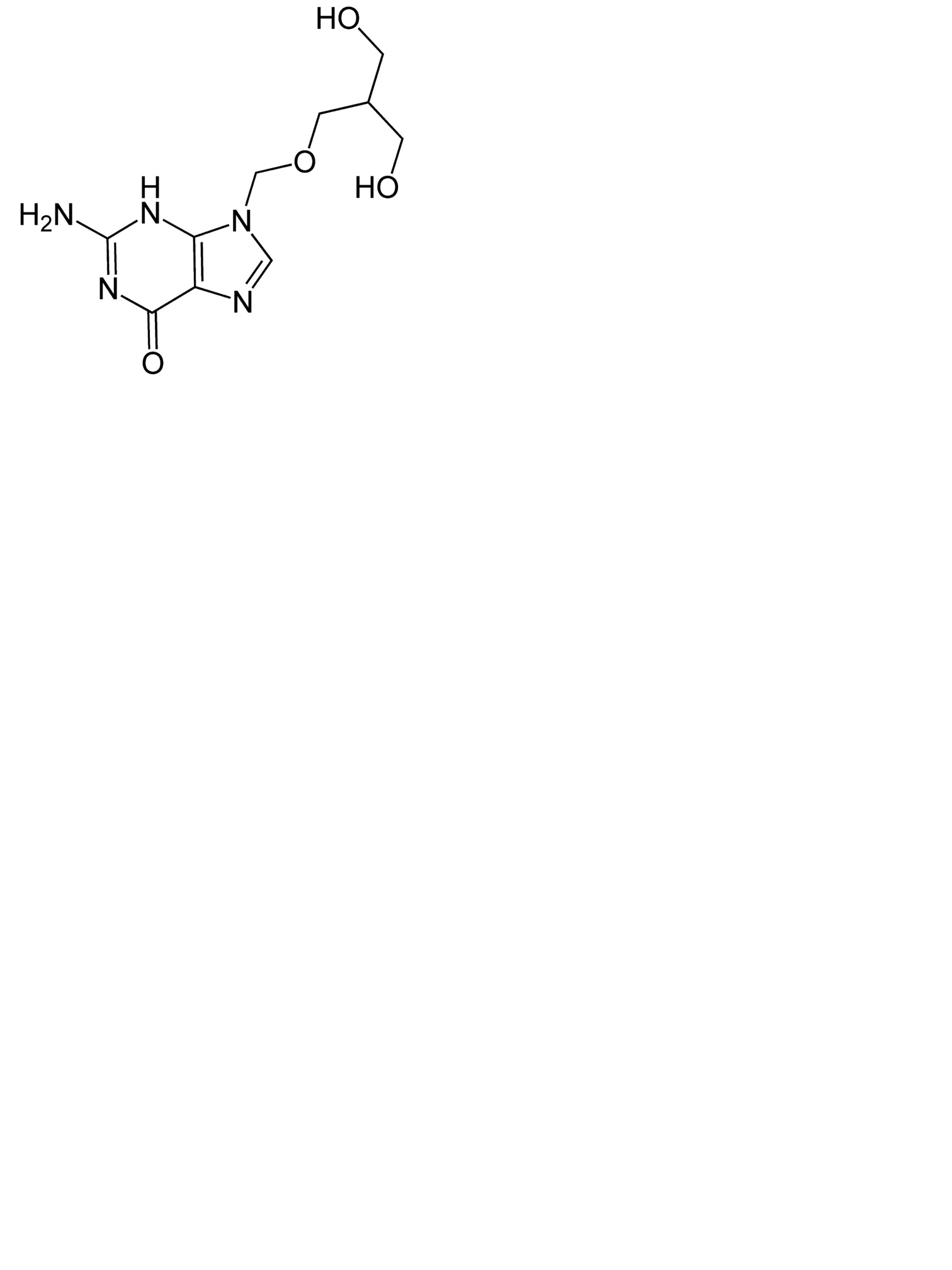
Antivirotikum   Ganciclovir  
Humbuk
Stabilita farmaceutických přípravků Stabilita směsí Faktory ovlivňující stabilitu Kompatibilita Odkazy pdf
   Chemický vzorec  

Humbuk
Stabilita směsí   Humbuk   Stabilita směsí : Ganciclovir     
žádná data

  Mentions Légales