Posledná aktualizácia :
27/01/2026
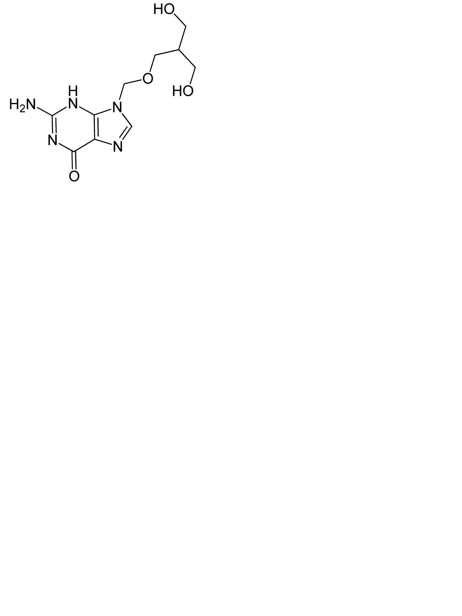
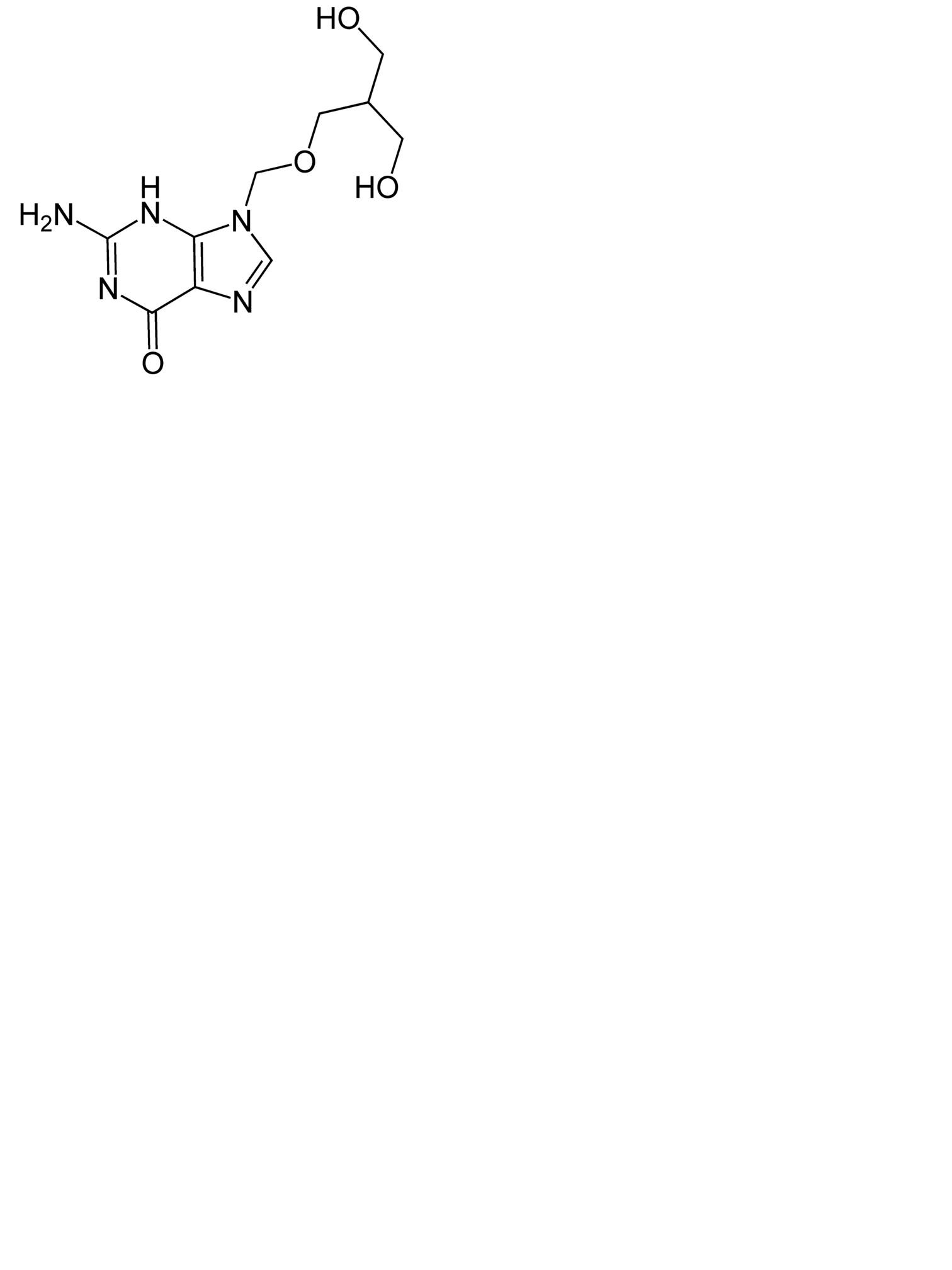
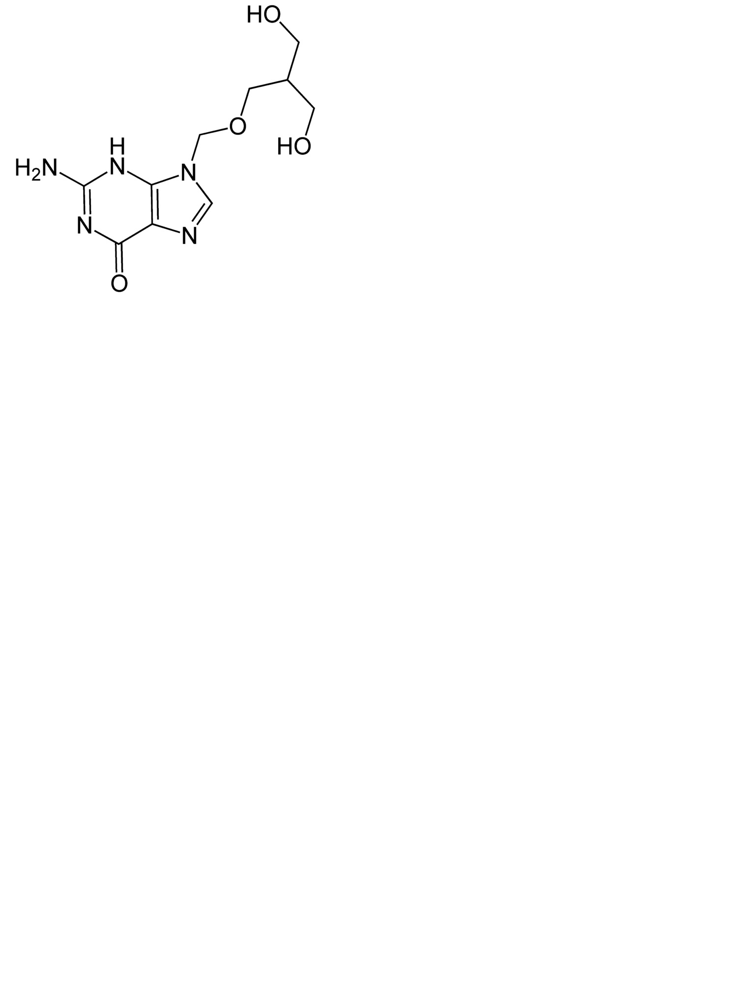
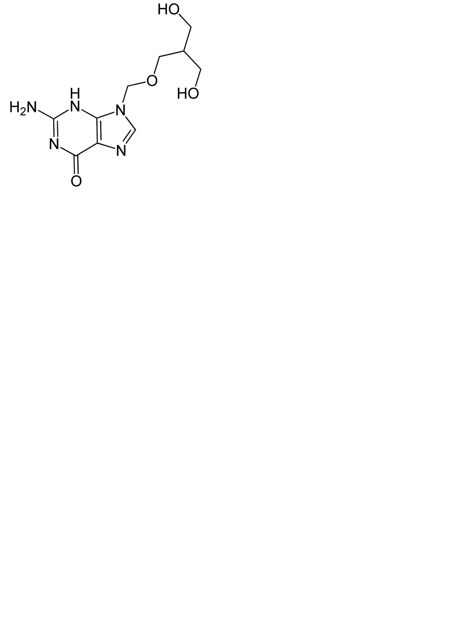
antivirotikum   Ganciclovir  
Očná instilácia
Stabilita farmaceutických prípravkov Stabilita v zmesiach Faktory ovplyvňujúce stabilitu Kompatibility Odkazy na literatúru PDF
   Chemický vzorec  

Očná instilácia
Stabilita v zmesiach   Očná instilácia   Stabilita v zmesiach : Ganciclovir     
žiadne údaje

  Mentions Légales