Viimeisin päivitys :
27/01/2026
Infostab
Luettelo yhdisteistä
Yhteenveto-luettelot
Etsi yhteensopivuutta
Y-sivuston yhteensopivuustaulukko
Viitteet
tutkimus Joukkueet
valistab
ilmoitus
Liitännät
sponsorit
Tekijät
Käyttöohje
Uutiskirje
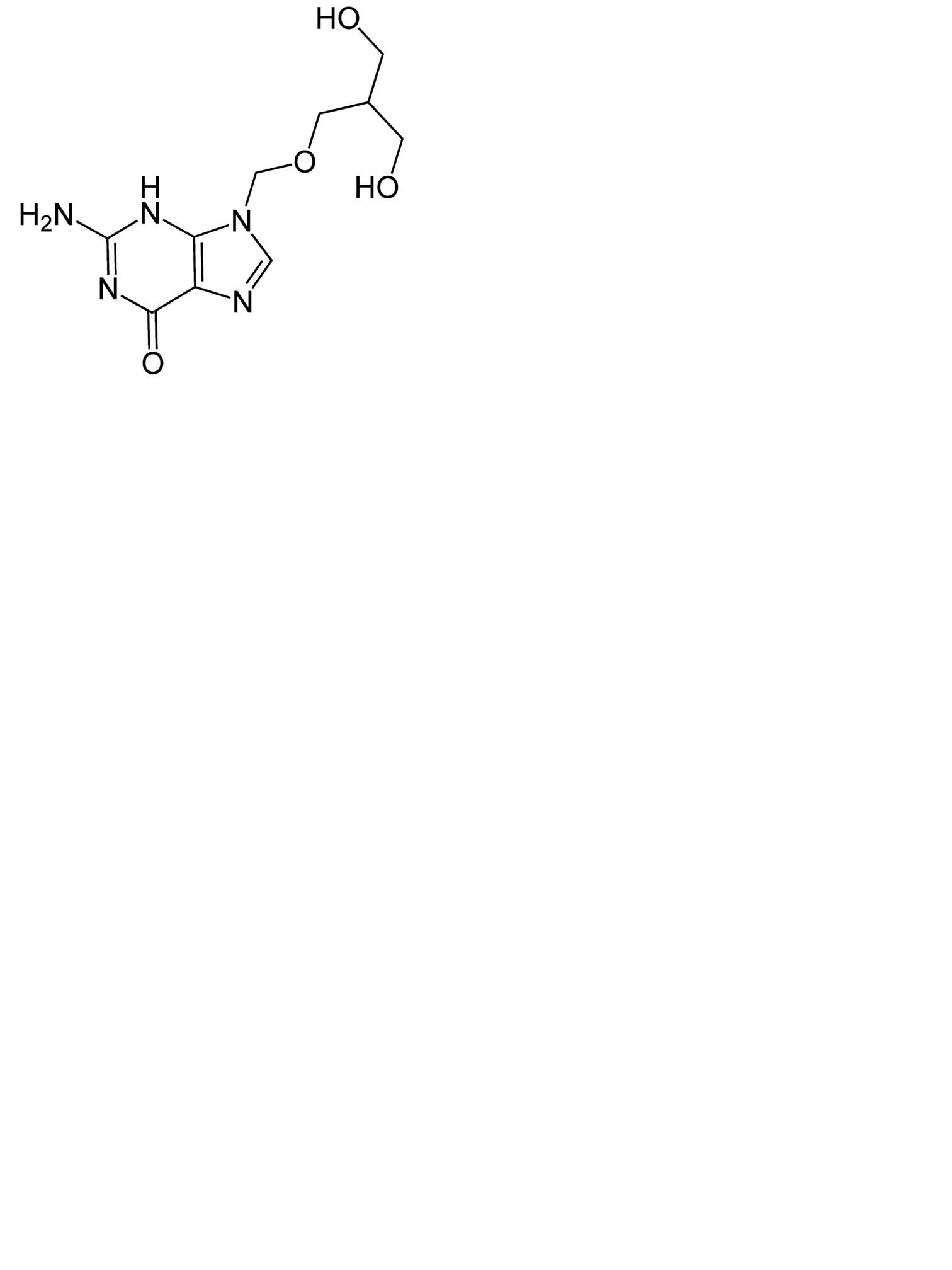
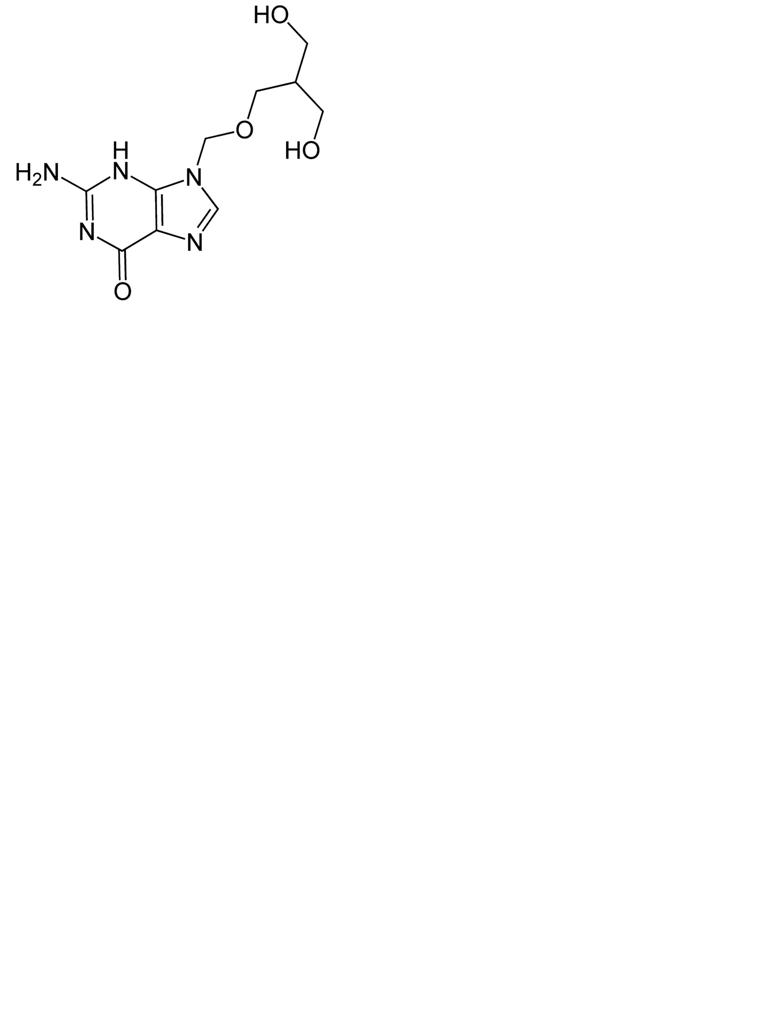
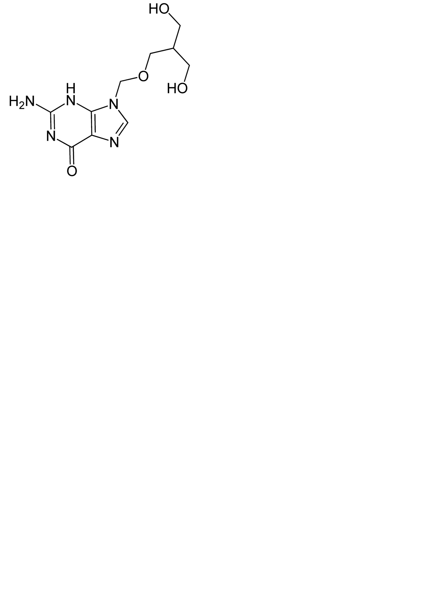
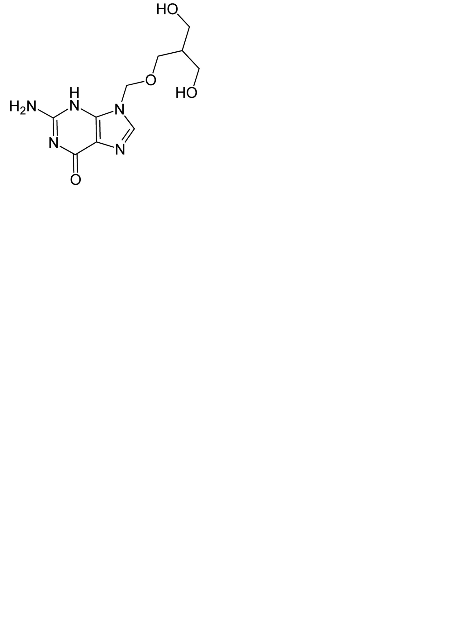
Ganciclovir
Kemiallinen rakenne
Stabilius seoksissa : Ganciclovir
ei tietoa
Mentions Légales