Dernière mise à jour :
03/03/2026
Infostab
Liste des molécules
Listes récapitulatives
Recherches de compatibilités
Tableau de compatibilités en Y
Bibliographie
Equipes de recherche
Valistab
Posters
Liens infostab
Partenaires
Auteurs
Manuel d'utilisation
Lettre d'actualité
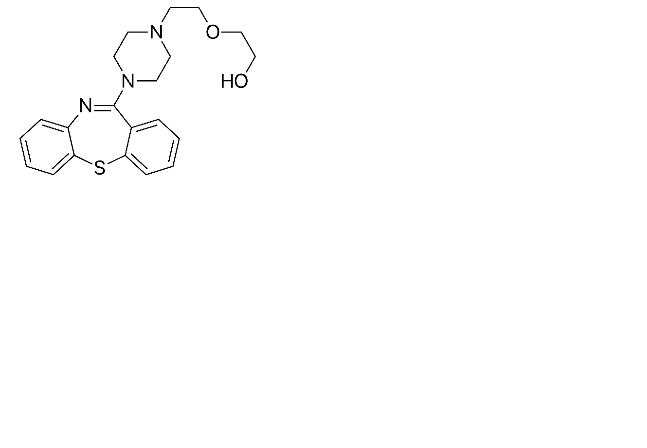
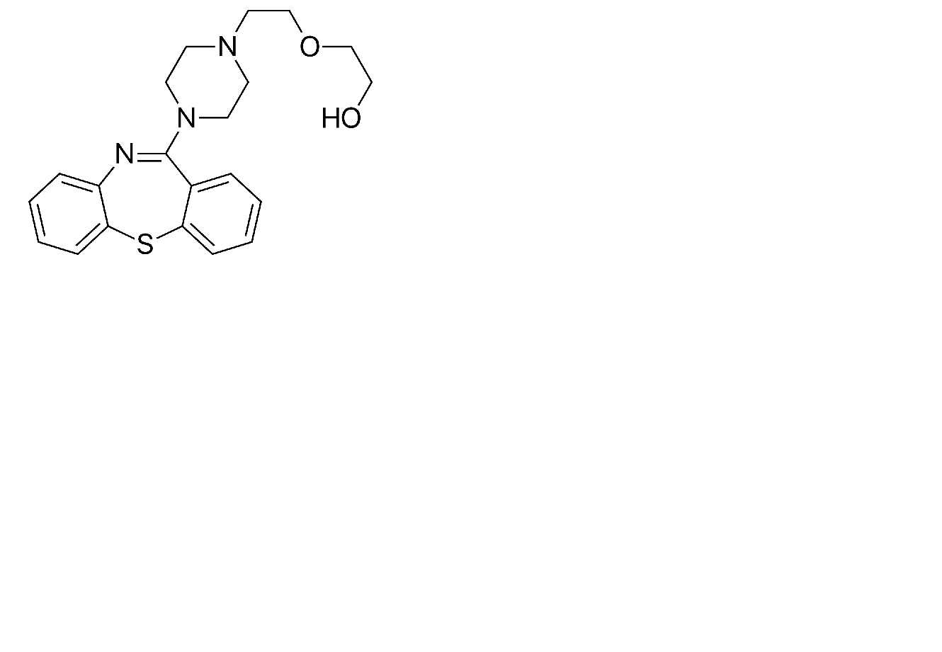
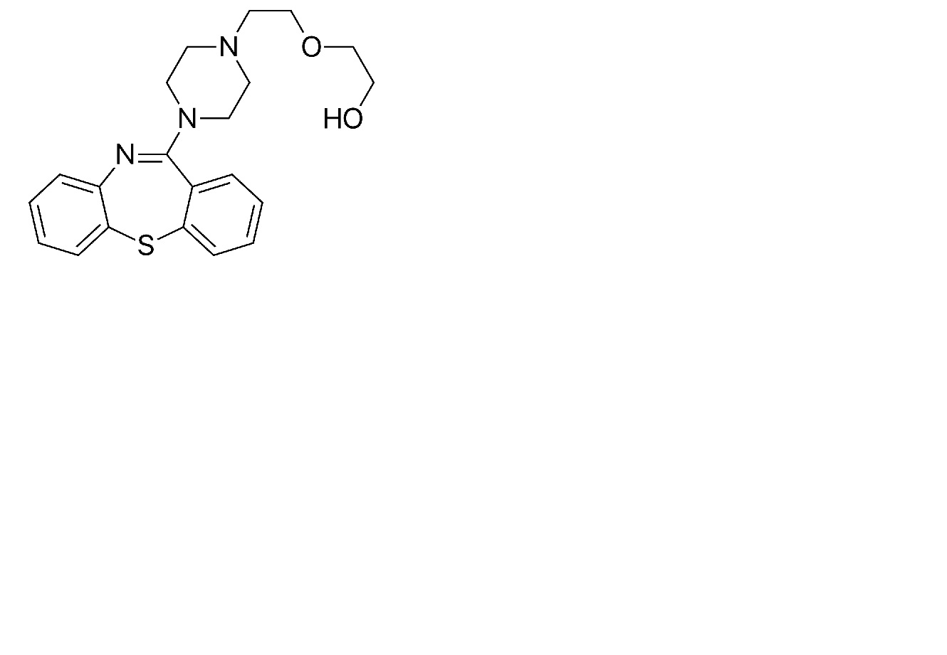
Quetiapine fumarate
Structure chimique
Compatibilités : Quetiapine fumarate
Aucune donnée
Mentions Légales