آخر تحديث :
27/04/2026
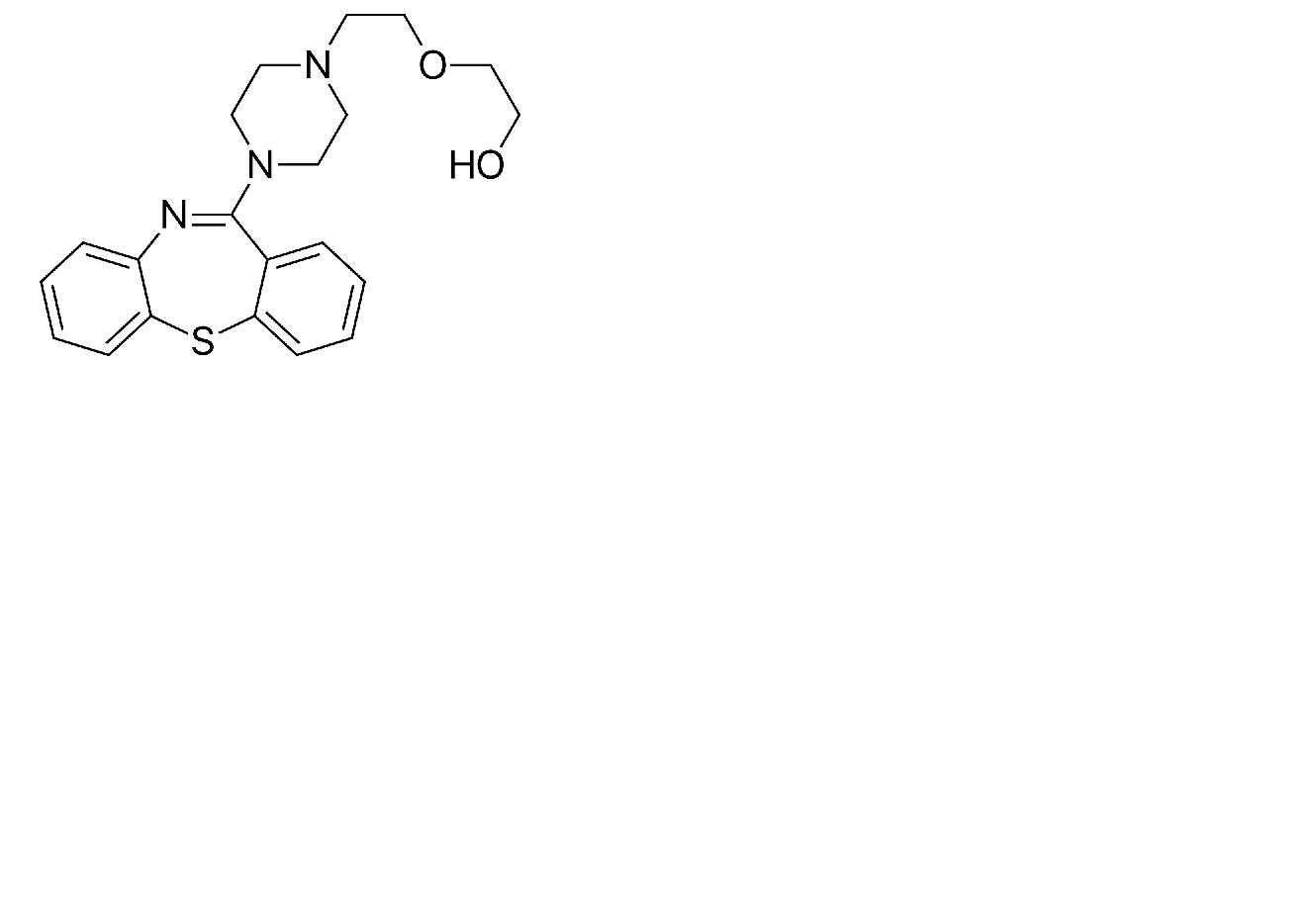
مختلف   Quetiapine fumarate  
عن طريق الفم
استقرار المستحضرات الصيدلانية استقرار مخاليط العوامل التي تؤثر على الاستقرار التوافق مراجع pdf
   التركيب الكيميائي  

عن طريق الفم
التوافق   عن طريق الفم     التوافق : Quetiapine fumarate              
لا توجد بيانات

  Mentions Légales