Última actualización :
27/04/2026
Varios   Quetiapine fumarate  
Solución Oral
La estabilidad de las preparaciones farmacéuticas Estabilidad en mezcla Factores que influyen sobre la estabilidad Compatibilidades Bibliografía pdf
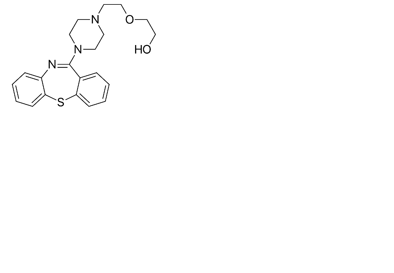
   Estructura química  

Solución Oral
Compatibilidades   Solución Oral   Compatibilidades : Quetiapine fumarate              
Ausencia de datos

  Mentions Légales